Trauma-Informed Care Instruments for Nursing in Natural Disaster-Prone Areas: A Systematic Review

Eriyono Budi Wijoyo1,2*, Mustikasari Mustikasari2, Achmad Fauji3

1Faculty of Health Science, Universitas Muhammadiyah Tangerang, 15118 Tangerang, Banten, Indonesia

2Faculty of Nursing, Universitas Indonesia, Kota Depok, 16424 Jawa Barat, Indonesia

3Department of Medical Surgical Nursing, Faculty of Health Science and Pharmacy, Universitas Bani Saleh, 17113 Jawa Barat, Indonesia

*Corresponding Author’s Email ID: eriyonobudi@gmail.com



ABSTRACT

Background: Nurses play a crucial role not only in clinical management but also in preventing psychological trauma, especially in disaster-prone settings. Trauma-Informed Care (TIC) is a key strategy, and its implementation requires the use of valid and reliable instruments. This systematic review aims to identify TIC assessment tools and analyze their application across different disaster phases. Methods: A systematic review was conducted following the PRISMA guidelines. Literature searches were performed in five databases (PubMed, ScienceDirect, Emerald, ProQuest, and Sage Journals) using keywords, covering publications from 2015 to 2024. Results: Nine TIC instruments were identified and grouped into three categories: (1) Individual attitudes and competencies The Attitudes Related to Trauma Informed Care (ARTIC), Knowledge, Attitudes, and Practices related to Trauma-Informed care (KAP-TIC), Nurses’ Intention to Care for Patients with Infectious Disease Scale (NICPS), Measuring TIC-Nurses). (2) Organizational readiness and culture (TICO Meter, Organizational Trauma Resilience Assessment (OTRA)), and (3) Specific clinical practices (TIC-PAT, Trauma-Informed Practice (TIP) Scale). Instruments such as ARTIC and the Trauma-Informed Care Provider Assessment Tool (TIC-PAT) are suitable for the initial phase of a disaster, allowing for the rapid assessment of healthcare workers. Meanwhile, TICO Meter and OTRA are effective for evaluating organizational readiness and resilience during response and rehabilitation. The TIP Scale is particularly relevant in the recovery phase to empower survivors. Conclusion: Nine TIC instruments can be integrated into different phases of disaster management: ARTIC and TIC-PAT for early assessment, TICO Meter and OTRA for organizational readiness during response and rehabilitation, and the TIP Scale for recovery. Training and systematic use of these tools enable nurses to deliver compassionate, safe, and resilient care in disaster-prone settings.

Keywords: Disaster-Prone Areas; Nursing Assessment; Trauma-Informed Care Instrument


INTRODUCTION

Indonesia is a country prone to natural disasters, with a high frequency of events, like earthquakes, floods, tsunamis, and volcanic eruptions (Suparji et al., 2024). The impact of these disasters is not only physical and economic but also causes profound psychological trauma for survivors (Mustikasari et al., 2018). In these situations, nurses play a crucial role as the frontline in providing healthcare services, not only treating acute physical conditions but also preventing and identifying psychological trauma that has the potential to develop long-term psychological disorder (Farokhzadian et al., 2024; Wijoyo et al., 2020). In these situations, healthcare workers, especially nurses, play a vital role as the frontline providers of healthcare services, both during the emergency response and recovery phases (Labrague & Hammad, 2024). However, limited resources, high work pressure, and exposure to patient suffering often leave nurses facing a double burden: managing both clinical conditions and complex psychological impacts. The challenges in responding to disasters are complex, including resource constraints, emotional burdens, and a high risk of burnout among healthcare workers (Usset et al., 2024).

Nurses are always present and play a crucial role in natural disaster situations (Firouzkouhi et al., 2021). During disasters, nurses apply specialized knowledge and skills, as well as activities, to minimize health and life-threatening disaster risks for victims (Farokhzadian et al., 2022). Skills can be acquired through nursing education or through experience in providing healthcare services in disaster areas or where nurses work (Brinjee et al., 2021; Said & Chiang, 2020). Nurses need to enhance their skills to effectively care for patients in disaster-prone areas who have been traumatized.

These skills include identifying trauma events, awareness of emergency response plans and regular drills, proper use of emergency equipment such as personal protective equipment, following evacuation routes and communication channels, participating in drill evaluations, and modifying response plans as necessary (Benson et al., 2024; Firouzkouhi et al., 2021; Kwikima & Daud, 2025). Nurses' clinical skills in crises include technical efficiency, the ability to utilize nursing techniques with specialized equipment, the capacity to perform physical examinations, clinical decision-making skills, triage and trauma skills, flexibility, and the ability to perform tasks effectively in crises (Afseth, 2022; Elliott, 2022). After improving nurses' skills, it is necessary to evaluate nurses' perceptions of their skills and competencies in providing care in disaster-prone areas.

To address this challenge, the Trauma-Informed Care (TIC) approach is a crucial strategy in trauma prevention, both for survivors and healthcare workers themselves (Alhassan et al., 2025; Grossman et al., 2021; Guest, 2021). However, implementing TIC requires understanding and valid measuring instruments tailored to the local context (Forkey et al., 2021). Various instruments have been developed in various countries to assess attitudes, competencies, organizational readiness, and clinical practices related to TIC (Bassuk et al., 2017; Xia et al., 2024).

Trauma prevention that is not carried out correctly can have a profoundly traumatic impact on individuals' lives, so nurses must be aware of this (Bailey et al., 2023). This prevention will emphasize the impact that will occur on nurses, such as facing psychological distress, work stress, health problems, family concerns, organizational problems, poor coordination, and low public awareness, which can affect their well-being and ability to respond effectively (Al Harthi et al., 2020; Farokhzadian et al., 2022; Loke et al., 2021). Building knowledge, skills, and motivation around trauma, or creating trauma awareness, provides the foundation for nurses to implement trauma-informed care or a trauma-informed "approach" where individuals are trained to implement such interventions (İnci et al., 2025; Mitchell et al., 2021). Today, this concept is known as Trauma-Informed Care (TIC). Therefore, valid and reliable instruments are needed to assess nurses' readiness and ability to implement trauma prevention based on the Trauma-Informed Care (TIC) approach. To date, there have been limited studies systematically reviewing the instruments used in this context, particularly those relevant to natural disasters. This systematic review aimed to identify and analyze instruments that can be utilized in nursing practice in areas prone to natural disasters, as well as to evaluate their advantages, limitations, and potential adaptations to support trauma prevention interventions in the field.

METHODOLOGY

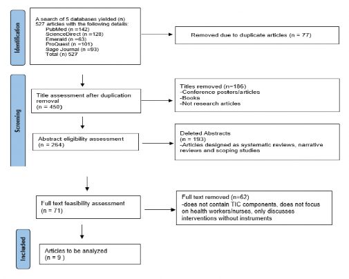
The review protocols were registered in the international prospective register of systematic reviews (PROSPERO) under the ID CRD42025639345. The PRISMA 2020 flow diagram illustrating the screening and selection process is provided in figure 1. No meta-analysis was conducted.

Literature Search Strategy

This systematic review was developed based on the PRISMA 2020 checklist to ensure methodological rigor and transparency (Page et al., 2021). A comprehensive literature search was conducted across five databases: PubMed, ScienceDirect, Emerald, ProQuest, and SAGE Journals. The search was limited to studies published between 2015 and 2024 to capture contemporary findings. Search terms included "trauma-informed care," "trauma-informed practice," "trauma-informed approach," and "disaster area." Articles were included if they were peer-reviewed research or review articles, focused on trauma-informed care, were published in English, and related to the implementation of TIC in disaster-prone or trauma contexts. Exclusion criteria included did not assess or apply TIC principles, did not contain a measurable or conceptual TIC component, did not contribute substantially to TIC conceptual understanding, and focused solely on specific cognitive-behavioral interventions outside the scope of TIC.

Selection Process

Two independent reviewers conducted the study selection process to minimize selection bias and ensure methodological rigor. Initially, all records identified through database searching and additional sources were imported into reference management software, and duplicate studies were removed. Subsequently, titles and abstracts were screened independently using predefined eligibility criteria based on the study objectives and inclusion-exclusion framework.

Potentially relevant studies were retained for full-text assessment. Disagreements between reviewers during the screening stage were discussed collaboratively to reach a consensus. When consensus could not be achieved, a third reviewer (Mus), acting as a research supervisor, was consulted to make the final decision. Full-text articles meeting preliminary eligibility were further assessed using a standardized screening form to ensure consistency in study inclusion. Reasons for exclusion at the full-text stage were documented to maintain transparency and reproducibility of the review process. The overall study selection procedure followed the Preferred Reporting Items for Systematic Reviews and Meta-Analyses (PRISMA) guidelines.

Data collection

Data extraction was performed independently by two reviewers using a predefined, pilot-tested data extraction form to ensure clarity, consistency, and completeness of the collected information. Before the main extraction process, the form was tested on a subset of selected studies and refined accordingly. Extracted data included key study characteristics such as author(s), year of publication, country or study setting, study design, participant characteristics, and study objectives. In addition, specific information related to the Trauma-Informed Care (TIC) framework was collected, including the conceptual framework or model used, the measurement instruments or indicators employed, the intervention components, and the reported implementation outcomes. The summarized extracted data are presented in Table 3.

To ensure reliability, both reviewers compared extracted datasets after completion. Any discrepancies or inconsistencies were resolved through discussion and consensus. If disagreements persisted, consultation with the third reviewer was undertaken to reach a final agreement. This multi-reviewer extraction approach was applied to enhance data accuracy and reduce reviewer bias throughout data collection.

Quality Assessment and Risk of Bias Assessment

Risk of bias was assessed for each included study using the COSMIN (Consensus-based Standards for the Selection of Health Measurement Instruments) (Table 2) critical appraisal checklist, appropriate to the study design. Each study was appraised by two reviewers. Judgments were reported for each criterion, and overall appraisal scores were recorded.

RESULTS

The PRISMA 2020 flow diagram illustrating the screening and selection process is provided in figure 1.

image

Figure 1: Prisma Flow Diagram


Study Characteristic

The dimensions were measured with the instruments analyzed in this study. In general, three main dimensions consistently appear in most instruments: knowledge, attitudes, and practices or skills. Knowledge related to trauma and TIC principles (8/9 instruments); attitudes of health workers toward the application of TIC (5/9 instruments); and practices in providing trauma- informed care (8/9 instruments). An explanation of each domain in the instrument is as follows (Table 1).

Table 1: List of Instruments to be Analyzed and Domain in Instrument

No

Instrument

Initial

Know**

Atti

Prac

OrgaCul

Coll

TraRes

Stren

SS

PS

1

The Attitudes Related to Trauma Informed Care (ARTIC) Baker et al. (2016)

Ins*1


+


+


+


+


-


-


-


-


-

2

Trauma-Informed Care Organizational Meter. (Bassuk et al., 2017)

Ins2


+


-


+


+


+


-


-


-


-

3

Organizational Trauma Resilience Assessment (OTRA) Brown et al. (2023)

Ins3


+


-


+


+


+


+


+


-


-

4

Knowledge, Attitudes, and Practices related to Trauma-Informed care of Trauma-Informed Practice Abdoh et al. (2017)

Ins4


+


+


+


-


-


-


-


-


-

5

Knowledge, Attitude, and Practice Related to Trauma-informed Care King et al. (2019)

Ins5


+


+


+


-


-


-


-


-


-

6

Measuring Trauma- Informed Care of Nurses Working with

Traumatically Injured Patients Xia et al. (2024)

Ins6


+


+


+


-


-


-


-


-


-

7

Trauma-Informed Care Provider Assessment Tool (TIC-PAT) Hanson et al. (2024)

Ins7


+


+


+


-


+


+


-


-


+

8

Nurses’ Intention to Care for Patients with Infectious Disease Scale (NICPS) Hoseinzadeh et al. (2024)

Ins8


-

-

-

-

-

-

-


+


-

9

Trauma-Informed Practice (TIP) Scale Goodman et al., (2016)

Ins9


+


-


+


-


+


-


+


-


+

*Note- Ins.: Instrument; Know: Knowledge; Atti: Attitude; Prac: Practice; OrgaCul: Organizational Culture; Coll: Collaboration; TraRes: Trauma Responsiveness; Stren: Strength-Based; SS: Social Support; PS: Patient Support.

Risk of Bias

The analysis results were based on COSMIN (Consensus-based Standards for the Selection of Health Measurement Instruments), which assesses nine instruments to evaluate the quality of measurement tools based on psychometric properties. The most comprehensive instruments according to COSMIN are Ins1, Ins2, Ins3, Ins6, Ins7, Ins8, and Ins9. Instruments requiring further development are Ins4 and Ins5. Instruments that utilize cross-cultural validity can be found in Ins6 and Ins8. The following results were obtained (Table 2).

Table 2: Analysis Based on COSMIN

No

Instrument

CV*

SV

IC

Rel

CC

Resp

Hypothesis testing

1

Ins1

+

+

+

+

?

-

+

2

Ins2

+

+

+

+

-

-

+

3

Ins3

+

+

+

+

-

-

+

4

Ins4

?

-

-

?

-

-

?

5

Ins5

+

?

+

+

-

-

+

6

Ins6

+

+

+

+

+

-

+

7

Ins7

+

+

+

+

-

-

+

8

Ins8

+

+

+

+

+

-

+

9

Ins9

+

+

+

+

?

-

+

*Note: CV: Content Validity; SV: Structural Validity; IC: Internal Consistency; Rel: Reliability; CC: Cross-Cultural; Resp: Responsiveness. (+): Available; (?): unclear; (-): Not available

Review finding

Nine articles relevant to the systematic review topic, specifically trauma prevention instruments for nursing in disaster-prone areas, are reviewed and described in the chart below (Table 3).


Table 3: Assessment Instrument for Evaluating the Implementation of Care for Patients with Trauma



No


Ins.

Author/ye ar/ country


Population


TIC Framework

Assessment Domain/ Indicators


Reliabilities

Implementation Outcome

1

Ins1

Baker et al. (2016)/ USA

Conducted on 760 staff

SAMHSA*

Principle

Consisting of 7 domains and

45 questions

Cronbach's alpha value 0.93

Positive attitudes towards TIC, related to burnout

2

Ins2

Bassuk et al. (2017)/ USA

Conducted at 68 health and human services organizations and 424 service providers online

TIC

Organizational readiness

Consisting of six domains and 35 questions

Cronbach's alpha value 0.92

Measuring organizational readiness for TIC

3

Ins3

Brown et al. (2023) / USA

Conducted on 861 people at 12 sites in the United States

Organizational Resilience

Consisting of five domains with 40 questions

Cronbach's alpha value 0.968 (0.818-

0.949)

Assessing trauma resilience in organizations

4

Ins4

Abdoh et al., (2017)

/ Saudi Arabia

Given to 17 people at ASC (Alexander Streets Community)

Not explicitly stated

Contains 3 domains with 36 questions

Cronbach's alpha values are not explained in the article

TIC knowledge & practice increased

5

Ins5

King et al. (2019)/ USA

511 health workers

SAMHSA

Principle

Contains three domains with 21 questions

Cronbach's alpha values for the Knowledge domain are 0.8592;

Behavior: 0.7593; and Practice: 0.7735

TIC assessment score of knowledge and attitude is good

6

Ins6

Xia et al. (2024) /

China

293 Nurses in China in hospitals

SAMHSA

Principle

Contains three domains with 30 questions

Cronbach’s alpha value is 0.939 and its validity value is 0.971

TIC practice depends on training and experience

7

Ins7

Hanson et al. (2024) / USA

176 physicians practicing in primary care

TIC in Primary Care

The 5 domains that make up the TIC are 10 items

Cronbach's alpha value 0.98

Trauma screening and collaboration increased

8

Ins8

Hoseinzad eh et al. (2024) /

Iran

Conducted on infectious room nurses in 455 nurses

Not specific in TIC

Consisting of three domains with 17 questions

Cronbach's alpha values were 0.87,

0.84, and 0.74

Social support and motivation increase the intention to care for patients with trauma

9

Ins9

Goodman et al., (2016)/ USA

Female victims of domestic violence in the United States with a sample of 388

TIC in Survivors

Contains six domains with 48 items

Cronbach's alpha value 0.85-0.98

TIC increases empowerment & coping

*Note- SAMHSA: Substance Abuse and Mental Health Services Administration


DISCUSSION

The author conducted a systematic review to provide an overview of instruments that can be used for trauma prevention. Several categories emerged from the nine articles: individual attitudes and competencies, organizational readiness and culture, and clinical and practice specifications.

Individual attitudes and competencies

Individual attitudes and competencies can be assessed using the ARTIC (Baker et al., 2016), KAP-TIC (Abdoh et al., 2017; King et al., 2019), NICPS (Hoseinzadeh et al., 2024), and Measuring Nurses' TIC (Xia et al., 2024) instruments. This is because these instruments focus on assessing the knowledge, attitudes, and behaviors of healthcare workers. ARTIC is the most comprehensive, with an emphasis on individual belief-response. For the organizational readiness and culture category are the TICO Meter (Bassuk et al., 2017) and OTRA (Brown et al., 2023). This is because the primary domain or focus is on policy, collaboration, a culture of trust, and social support.

Meanwhile, the specific clinic/practice category also explained that its primary focus is on screening, patient-centered communication, parental support, and the presence of domestic violence (Aljomaie et al., 2022; Montesanti et al., 2023). Considering the context of instrument use, it can be concluded that the instrument can be applied in various settings, including primary care, referral hospitals, human service organizations, and trauma victim assistance (Brown et al., 2023; Goodman et al., 2016; Xia et al., 2024). Therefore, the analyzed instruments can be utilized in trauma-affected areas, such as those affected by natural disasters. Nine instruments will reveal knowledge gaps, including language and cultural adaptation, but none are available in Indonesian. Further cross-cultural validation can be conducted for instrument development in Indonesia.

Instrument development in natural disaster areas is crucial because nurses/healthcare workers will handle acute physical and mass psychological trauma (Farokhzadian et al., 2022). Furthermore, nurses also work in conditions with limited resources and limited volunteer rotation (Mustikasari et al., 2018; Wijoyo et al., 2023). Furthermore, the transition period from the disaster phase also requires a quick, concise, and valid instrument to identify potential problems (Albahri et al., 2024; Ghaffarian et al., 2023). The ARTIC instrument features a concise version, ARTIC, which is ideal for use during the first week of a natural disaster (Baker et al., 2020). This is crucial for mapping cross-professional preparedness in handling natural disasters. The NICPS, meanwhile, focuses on nurses' intentions to care for patients with infectious diseases during a natural disaster (Hoseinzadeh et al., 2024). This can be utilized by adding a brief module on safety and re-traumatization to support nurses' trauma prevention efforts (Berring et al., 2024). This instrument also assesses social support, spiritual motivation, and job satisfaction (Guest, 2021). Furthermore, the Measuring TIC-Nurse instrument can be used during natural disasters, from the golden hour phase through rehabilitation in referral hospitals or field hospitals treating physical injuries and fractures (Xia et al., 2024). Since this instrument was developed in China, further assessment and testing are necessary when it is adapted for use in new regions, especially those prone to natural disasters.

Organizational readiness and culture

When viewed through the categories of readiness and organizational culture in the context of facing natural disasters, the organization can utilize the TICO Meter questionnaire (Bassuk et al., 2017) and the OTRA (Brown et al., 2023), which can be developed to assess the organization's readiness to face natural disasters. This instrument assesses not only individuals but also organizations. Domains in TICO Meter include as many as six domains, ranging from trauma-based knowledge and skills to trusting relationships, respect, provision of TIC services, and policies/procedures that support TIC (Bassuk et al., 2017). In addition, this instrument also assesses multidisciplinary health workers, not only specific to one health worker. Additionally, the TICO Meter is also suitable for use in areas affected by natural disasters during the rehabilitation phase. This is possible because the TICO Meter instrument assesses the system or organization, not just individuals, allowing it to be used in natural disasters with significant impacts. At the same time, the OTRA instrument assesses organizational resilience to the impacts that occur (Brown et al., 2023). When viewed in the context of a natural disaster, this instrument will assess whether staff are trained to deal with trauma situations and whether they intend to remain. This is vital for the long-term retention of healthcare workers at disaster sites. Furthermore, this instrument also assesses service organizations when faced with logistical crises, staff burnout, and the emotional complexities of survivors during a natural disaster (Bassuk et al., 2017; Brown et al., 2023). Both are crucial in natural disaster areas because they assess the organizational level, not just the individual. This enables systemic change for the continuation of humane, safe, and effective trauma care.

Clinical and practice specifications

The TIC-PAT instrument can be utilized in emergency services, particularly during natural disasters (Hanson et al., 2024). This instrument is short and assesses the ability and preparedness of individuals (healthcare workers) to handle the impact of a natural disaster, particularly in trauma prevention. Furthermore, screening is crucial because natural disaster survivors tend to be at high risk for psychological trauma. Therefore, the TIC-PAT instrument can be effectively implemented in areas affected by natural disasters. Furthermore, the TIP scale is an instrument used to assess victim empowerment and resilience (Goodman et al., 2016). This assessment is crucial to prevent re-traumatization and can also enhance their sense of control and self-esteem. However, the TIP-Scale is an instrument that can only be used during the rehabilitation phase of a natural disaster, not during the crisis itself. A variety of high-quality instruments exist to measure the implementation of Trauma-Informed Care at both the individual and organizational levels (Ashworth et al., 2023). Although internal reliability is generally high, evidence of cross-cultural and predictive validity is limited. Therefore, researchers can select instruments appropriate to their purpose, adapt them to the local context, and integrate TIC evaluation with patient outcomes and healthcare worker well-being. Strengthening instruments that healthcare workers, particularly nurses, can use to implement trauma prevention in natural disaster areas, such as Indonesia, is needed.

Limitations

This systematic review has several important limitations. This study included only published articles in English, potentially overlooking relevant instruments from local or unpublished sources. The predictive validity and long-term evaluation of these instruments in disaster contexts have also been understudied.

CONCLUSION

Based on the review of nine Trauma-Informed Care (TIC) instruments, nurses are encouraged to actively integrate these tools into different phases of disaster management to enhance patient care and support healthcare teams. During the initial phase of a disaster, instruments such as the ARTIC and TIC-PAT can be used to quickly assess attitudes, competencies, and readiness of healthcare workers in delivering trauma-informed care. As the response and rehabilitation phases progress, tools like the TICO Meter and OTRA should be applied to evaluate and strengthen organizational culture, resilience, and systemic readiness. In the recovery phase, the TIP Scale can be incorporated into nursing interventions to empower survivors and promote healing. To effectively utilize these instruments, nurses require training in trauma- informed principles and assessment methods, collaboration with interdisciplinary teams, and a commitment to applying the findings from these assessments in clinical decision-making. By systematically using these tools, nurses can ensure that trauma-informed care becomes an integral part of practice, leading to more compassionate, safe, and resilient healthcare services, especially in disaster-prone settings.

Future research should expand its scope to include non-English publications and locally developed instruments to provide a more comprehensive understanding of trauma-informed care implementation in disaster settings. Longitudinal studies are needed to assess the predictive validity and long-term effectiveness of TIC instruments across different phases of disaster management. Additionally, future studies should focus on cultural adaptation and psychometric validation of TIC instruments across diverse healthcare systems and disaster contexts, particularly in low- and middle-income countries. The integration of TIC assessment tools into disaster preparedness policies and nursing education and training programs represents an important area for further investigation to enhance the quality and sustainability of trauma-informed nursing care.

Conflict of Interest

The authors declare that they have no competing interests.

ACKNOWLEDGEMENT

The authors gratefully acknowledge the academic support and scholarly guidance provided by the lecturers of the Doctoral Nursing Program, Faculty of Nursing, Universitas Indonesia, whose expertise and stimulating academic environment have substantially contributed to the completion of this study. The authors also express their sincere appreciation to Mrs. Karina Megasari Winahyu for her valuable supervision and intellectual guidance in developing the analytical framework, policy brief, and systematic review. The constructive feedback, professional insights, and continuous support played an essential role in strengthening the conceptual development and successful completion of this research.

REFERENCES

Abdoh, N., Bernardi, E., & McCarthy, A. (2017). Knowledge, attitudes and practices of trauma informed practice: A survey of health care professionals and support staff at Alexander Street Community (NURS 344 Synthesis Project). UBC School of Nursing, The University of British Columbia. https://doi.org/10.14288/1.0343062

Afseth, J. (2022). Commentary: Development and evaluation of a clinical research nursing module for undergraduate nursing schools: Expanding Clinical Research Nurses’ outreach. Journal of Research in Nursing, 27(1), 78–79. https://doi.org/10.1177/17449871221075091

Al Harthi, M., Al Thobaity, A., Al Ahmari, W., & Almalki, M. (2020). Challenges for nurses in disaster management: A scoping review. Risk Management and Healthcare Policy, 13, 2627–2634. https://doi.org/10.2147/RMHP.S279513

Albahri, A. S., Khaleel, Y. L., Habeeb, M. A., Ismael, R. D., Hameed, Q. A., Deveci, M., Homod, R. Z., Albahri, O. S., Alamoodi, A. H., & Alzubaidi, L. (2024). A systematic review of trustworthy artificial intelligence applications in natural disasters. Computers and Electrical Engineering, 118. https://doi.org/10.1016/j.compeleceng.2024.109409

Alhassan, A., Rasheed, S., Raza, A. A., Murtaza, B., Mujeeb, A., & Mansoor, A. I. (2025). Driving and sustaining trauma-informed organizational change: The role of healthcare leadership. Health Sciences Review, 100236. https://doi.org/10.1016/j.hsr.2025.100236

Aljomaie, H. A. H., Hollingdrake, O., Cruz, A. A., & Currie, J. (2022). A scoping review of the healthcare provided by nurses to people experiencing domestic violence in primary health care settings. International Journal of Nursing Studies Advances, 4, 100068. https://doi.org/10.1016/j.ijnsa.2022.100068

Ashworth, H., Lewis-O’Connor, A., Grossman, S., Brown, T., Elisseou, S., & Stoklosa, H. (2023). Trauma-informed care (TIC) best practices for improving patient care in the emergency department. International Journal of Emergency Medicine, 16(1). BioMed Central Ltd. https://doi.org/10.1186/s12245-023-00509-w

Bailey, S., Newton, N., Perry, Y., Grummitt, L., Baams, L., & Barrett, E. (2023). Trauma- informed prevention programmes for depression, anxiety, and substance use among young people: Protocol for a mixed-methods systematic review. Systematic Reviews, 12(1). https://doi.org/10.1186/s13643-023-02365-4

Baker, C., Brown, S., Overstreet, S., & Wilcox, P. (2020). Validation of the Attitudes Related to Trauma-Informed Care Scale (ARTIC). Psychological Trauma: Theory, Research, Practice, and Policy, 13. https://doi.org/10.1037/tra0000989

Baker, C. N., Brown, S. M., Wilcox, P. D., Overstreet, S., & Arora, P. (2016). Development and psychometric evaluation of the Attitudes Related to Trauma-Informed Care (ARTIC) Scale. School Mental Health, 8(1), 61–76. https://doi.org/10.1007/s12310-015-9161-0

Bassuk, E. L., Unick, G. J., Paquette, K., & Richard, M. K. (2017). Developing an instrument to measure organizational trauma-informed care in human services: The TICOMETER. Psychology of Violence, 7(1), 150–157. https://doi.org/10.1037/vio0000030

Benson, C., Obasi, I. C., Akinwande, D. V., & Ile, C. (2024). The impact of interventions on health, safety, and environment in the process industry. Heliyon, 10(1). https://doi.org/10.1016/j.heliyon.2023.e23604

Berring, L. L., Holm, T., Hansen, J. P., Delcomyn, C. L., Søndergaard, R., & Hvidhjelm, J. (2024). Implementing Trauma-Informed Care-Settings, Definitions, Interventions, Measures, and Implementation across Settings: A Scoping Review. Healthcare (Basel, Switzerland), 12(9), 908. https://doi.org/10.3390/healthcare12090908

Brinjee, D., Al Thobaity, A., Almalki, M., & Alahmari, W. (2021). Identify the disaster nursing training and education needs for nurses in Taif City, Saudi Arabia. Risk Management and Healthcare Policy, 14, 2301–2310. https://doi.org/10.2147/RMHP.S312940

Brown, L. L., Pennings, J., Steckel, S., & Van, M. Z. (2023). The Organizational Trauma Resilience Assessment: Methods and psychometric properties HHS Public Access. Psychol Trauma, 15(Suppl 2), 1–23. https://doi.org/10.1037/tra0001184

Elliott, N. (2022). Commentary: Development and evaluation of a clinical research nursing module for undergraduate nursing schools: Expanding Clinical Research Nurses’ outreach. Journal of Research in Nursing, 27(1), 80–81. https://doi.org/10.1177/17449871221080683

Farokhzadian, J., Mangolian Shahrbabaki, P., Farahmandnia, H., Taskiran Eskici, G., & Soltani Goki, F. (2024). Nurses’ challenges for disaster response: A qualitative study. BMC Emergency Medicine, 24(1). https://doi.org/10.1186/s12873-023-00921-8

Farokhzadian, J., Nematollahi, M., Nayeri, N. D., & Faramarzpour, M. (2022). Using a model to design, implement, and evaluate a training program for improving cultural competence among undergraduate nursing students: A mixed-methods study. BMC Nursing, 21(1), 85. https://doi.org/10.1186/s12912-022-00849-7

Firouzkouhi, M., Kako, M., Abdollahimohammad, A., Balouchi, A., & Farzi, J. (2021). Nurses’ roles in nursing disaster model: A systematic scoping review. Iran Journal of Public Health, 50(5), 879–887. https://doi.org/10.18502/ijph.v50i5.6105

Forkey, H., Szilagyi, M., Kelly, E. T., Duffee, J., Springer, S. H., Szilagyi, M., Forkey, H., Fortin, K., Greiner, M. B. V., Ochs, T. J., Partap, A. N., Sagor, L. D., Shropshire, D. L., Thackeray, J. D., Waite, D., & Zetley, L. W. (2021). Trauma-informed care. Pediatrics, 148(2). https://doi.org/10.1542/peds.2021-052580

Ghaffarian, S., Taghikhah, F. R., & Maier, H. R. (2023). Explainable artificial intelligence in disaster risk management: Achievements and prospective futures. International Journal of Disaster Risk Reduction, 98. https://doi.org/10.1016/j.ijdrr.2023.104123

Goodman, L. A., Sullivan, C. M., Serrata, J., Perilla, J., Wilson, J. M., Fauci, J. E., & DiGiovanni, C. D. (2016). Development and validation of the Trauma-Informed Practice Scales. Journal of Community Psychology, 44(6), 747–764. https://doi.org/10.1002/jcop.21799

Grossman, S., Cooper, Z., Buxton, H., Hendrickson, S., Lewis-O’Connor, A., Stevens, J., Wong, L. Y., & Bonne, S. (2021). Trauma-informed care: Recognizing and resisting re- traumatization in healthcare. Trauma Surgery and Acute Care Open, 6(1). https://doi.org/10.1136/tsaco-2021-000815

Guest, H. (2021). A concept analysis of trauma-informed care. Nursing Forum, 56(4), 1000– 1007. https://doi.org/10.1111/nuf.12626

Hanson, C. L., Crandall, A., Novilla, M. L. B., & Bird, K. T. (2024). Psychometric evaluation of the Trauma-Informed Care Provider Assessment Tool. Health Services Research and Managerial Epidemiology, 11. https://doi.org/10.1177/23333928241258083

Hoseinzadeh, E., Sharif-Nia, H., Ashktorab, T., & Ebadi, A. (2024). Development and psychometric evaluation of nurse’s intention to care for patients with infectious disease scale: An exploratory sequential mixed-method study. BMC Nursing, 23(1). https://doi.org/10.1186/s12912-023-01669-z

İnci, F., Oflaz, F., Büyükbayram Arslan, A., Şimşek Arslan, B., & Kılıç Bayageldi, N. (2025). Knowledge, attitudes, and practices of mental health professionals regarding trauma-informed care. International Journal of Mental Health Nursing, 34(3), e70069. https://doi.org/10.1111/inm.70069

King, S., Chen, K. L. D., & Chokshi, B. (2019). Becoming trauma-informed: Validating a tool to assess health professional’s knowledge, attitude, and practice. Pediatric Quality and Safety, 4(5), E215. https://doi.org/10.1097/pq9.0000000000000215

Kwikima, M. M., & Daud, E. K. (2025). Integrated assessment of hospital and community disaster preparedness in Dodoma municipality, Tanzania: Bridging gaps in awareness and resilience. Discover Environment, 3(1). https://doi.org/10.1007/s44274-025-00201-1

Labrague, L. J., & Hammad, K. (2024). Disaster preparedness among nurses in disaster-prone countries: A systematic review. Australasian Emergency Care, 27(2), 88–96. https://doi.org/10.1016/j.auec.2023.09.002

Loke, A. Y., Guo, C., & Molassiotis, A. (2021). Development of disaster nursing education and training programs in the past 20 years (2000-2019): A systematic review. Nurse education today, 99, 104809. https://doi.org/10.1016/j.nedt.2021.104809

Mitchell, S., Shannon, C., Mulholland, C., & Hanna, D. (2021). Reaching consensus on the principles of trauma-informed care in early intervention psychosis services: A Delphi study. Early Intervention in Psychiatry, 15(5), 1369–1375. https://doi.org/10.1111/eip.13068

Montesanti, S., Goveas, D., Bali, K., & Campbell, S. M. (2023). Exploring factors shaping primary health care readiness to respond to family violence: Findings from a rapid evidence assessment. Journal of Family Violence, 40(5), 963–985. https://doi.org/10.1007/s10896-023- 00677-6

Mustikasari, P., Hamid, A. Y. S., & Fadhillah, H. (2018). Effectiveness of Psychological Adaptation Model of Mental Health Nursing for nurse survivors experiencing post-earthquake disaster post-traumatic stress syndrome. Enfermeria Clinica, 28, 289–294. https://doi.org/10.1016/S1130-8621(18)30172-4

Page, M. J., McKenzie, J. E., Bossuyt, P. M., Boutron, I., Hoffmann, T. C., Mulrow, C. D., Shamseer, L., Tetzlaff, J. M., Akl, E. A., Brennan, S. E., Chou, R., Glanville, J., Grimshaw, J. M., Hróbjartsson, A., Lalu, M. M., Li, T., Loder, E. W., Mayo-Wilson, E., McDonald, S., … Moher, D. (2021). The PRISMA 2020 statement: An updated guideline for reporting systematic reviews. Systematic Reviews, 10(1). https://doi.org/10.1186/s13643-021-01626-4

Said, N. B., & Chiang, V. C. L. (2020). The knowledge, skill competencies, and psychological preparedness of nurses for disasters: A systematic review. International emergency nursing, 48, 100806. https://doi.org/10.1016/j.ienj.2019.100806

Suparji, S., Nugroho, H. S. W., Sunarto, S., & Prayogi, A. S. (2024). Disaster preparedness culture in Japan and Indonesia: Cultural perspectives and practical implementation (a commentary). PAMJ-One Health, 15(2). https://doi.org/10.11604/pamj-oh.2024.15.2.45129

Usset, T. J., Baker, L. D., Griffin, B. J., Harris, J. I., Shearer, R. D., Munson, J., Godzik, C., Torrey, W. C., Bardach, S. H., Mulley, A. G., Locke, A., Wright, H. M., Call, M., Sexton, B., Shanafelt, T., & Smith, A. J. (2024). Burnout and turnover risks for healthcare workers in the United States: Downstream effects from moral injury exposure. Scientific Reports, 14(1). https://doi.org/10.1038/s41598-024-74086-0

Wijoyo, E. B., Susanti, H., & Panjaitan, R. U. (2023). Nurses’ perceptions regarding the impact of natural disasters. In Improving Health for Better Future Life: Strengthening from Basic Science to Clinical Research, 1, 1–11. Taylor & Francis Group.

Wijoyo, E. B., Susanti, H., Panjaitan, R. U., & Putri, A. F. (2020). Nurses’ perception about posttraumatic growth (PTG) after natural disasters. BMC Proceedings, 14(13), 19. https://doi.org/10.1186/s12919-020-00199-9

Xia, W., Wang, Y., Wu, X., & Yang, X. (2024). Development of a questionnaire for measuring trauma-informed care of nurses working with traumatically injured patients. Journal of Multidisciplinary Healthcare, 17, 367–378. https://doi.org/10.2147/JMDH.S437341