Nursing Intervention for Enhancing Blood Transfusion Experience in Thalassemic Children

Mohammed S. Ibreesam1*, Adraa Hussein Shawq2

1Department of Paediatric Nursing, Wasit Health Directorate, Ministry of Health, 879P+4XC, Kut, Wasit Governorate, Iraq

2Department of Paediatric Nursing, College of Nursing, University of Baghdad, Baghdad Governorate, 992M+CV4, Baghdad, Iraq

*Corresponding Author’s Email: mohammed.saleh2304m@conursing.uobaghdad.edu.iq


ABSTRACT

Background: Children with thalassaemia require frequent and prolonged blood transfusions as part of their treatment, which often leads to physical discomfort and emotional distress, negatively affecting their overall well-being and cooperation during procedures. Nursing care plays a critical role in mitigating these challenges and improving patient comfort. Deep breathing is a simple, non-pharmacological technique that has been shown to reduce anxiety and discomfort while positively influencing physiological functions; however, its effectiveness varies among individuals. Objective: This study aimed to evaluate the effectiveness of deep breathing exercises in stabilising key physiological parameters (heart rate, respiratory rate, blood pressure, oxygen saturation, and temperature) among children with thalassaemia undergoing blood transfusion. Methods: A quasi-experimental design was conducted with 80 children diagnosed with thalassaemia at the Thalassaemia Center for Genetic Blood Disorders. Participants were assigned to either an intervention group or a control group using convenience sampling. The intervention group performed deep breathing exercises during transfusion, while the control group received standard care. Physiological parameters, including heart rate, respiratory rate, and blood pressure, were measured before, during, and after transfusion. Data were analysed using SPSS software. Results: The intervention group showed significant improvements in physiological parameters compared with controls. Heart rate and respiratory rate decreased significantly (p = 0.001 and p < 0.001, respectively), while oxygen saturation increased (p < 0.001). No significant change was found in blood pressure (p = 0.12). These findings confirm the effectiveness of deep breathing in stabilising physiological responses during transfusion. Conclusion: Deep breathing exercises are an effective nursing intervention that improves physiological stability and enhances the transfusion experience for children with thalassaemia. Incorporating this simple, low-cost technique into paediatric transfusion care may promote comfort and improve clinical outcomes.

Keywords: Blood Transfusion; Deep Breathing; Nursing Care Physiological Parameters; Thalassaemia

INTRODUCTION


The cornerstone of treatment for people with thalassaemia is blood transfusion. Blood transfusions are intended to treat anaemia and prevent the production of inefficient red blood cells. The majority of the significant growth, skeletal, and neurological problems of thalassaemia major are avoided by chronic blood transfusions. Blood transfusions include dangers even though they are essential for saving lives and enhancing patients' quality of life (Chouhan & Pujari, 2021). Thalassaemia Foundation of Canada: the genetic defect in thalassaemia results in severe anaemia and bone marrow expansion as the body tries to produce more red blood cells. Low haemoglobin levels reduce blood’s ability to carry oxygen, causing fatigue and shortness of breath and impacting overall oxygen levels. Regular blood transfusions and iron chelation therapy are essential to prevent severe anaemia (Jadhav et al., 2024).


Children’s lives are significantly affected by the transfusion process, similar to other chronic illnesses. This illness has detrimental effects on one's physical, mental, and social well-being. The application of blood transfusion procedures has demonstrated an increase in life expectancy due to advancements in the treatment of thalassaemia major. However, poor transfusion therapy, chronic iron deposition, low blood and blood product reliability, or insufficient chelation therapy utilisation can all lead to therapeutic problems. Anxiety, hopelessness, and melancholy can also result from frequent hospital stays brought on by blood transfusions, family separation, pain and activity limitations, iron chelation therapy side effects, and dread of dying (Sheikhi et al., 2020). Altered body image and self- perception have also been observed in children facing chronic health challenges, highlighting the psychological burden of visible physical changes and ongoing treatments (Shawq & Ali, 2019).


Long-term usage of iron-chelating drugs and frequent blood transfusions has a substantial negative impact on these patients' overall health, mental health, and quality of life, as well as that of their families. data and lead to issues in the nation's medical system (Sheikhi et al., 2020). Comprehensive nursing interventions, including educational and psychological support, counselling, and self-care programmes, have been shown to improve quality of life in children with transfusion-dependent thalassaemia (Jadhav et al., 2024; Mansouri et al., 2017). Vital sign changes are a common symptom of problems connected to transfusions (Nishikawa et al., 2021; Abdulzahra & Shawq, 2024). Active surveillance systems have been shown to significantly improve detection of transfusion reactions and enhance patient safety in paediatric populations (Panteli et al., 2023). Children's bodies undergo many physiological changes when they are threatened by frequent blood transfusions (Sheikhi et al., 2020).


The most reliable methods for evaluating a patient's vital signs are blood pressure, temperature, heart rate, and breathing rate. Standard vital signs have normal ranges; however, some deviate from these ranges due to the patient's circumstances and context, while others raise concerns (Roney et al., 2022). In 2014, a study found that 40% of study subjects had changes in their vital signs. Evidence suggests that monitoring vital signs at three different times (i.e., at the beginning of transfusion, within 15 minutes of starting transfusion, and at the end of transfusion) may be useful in detecting signs and symptoms of a transfusion reaction. To encourage early detection and treatment of transfusion reactions, the data support an integrated approach to monitoring vital signs in addition to a comprehensive physiological assessment by the patient and nurse (Sullivan et al., 2015). Integration of digital monitoring systems and transfusion data has been shown to enhance early recognition of complications and improve transfusion safety in paediatric thalassaemia care (Nishikawa et al., 2021; Sullivan et al., 2015). In addition to helping to ensure the sustainability of healthcare systems, evidence-based procedures are essential for facilitating early diagnosis and efficient management, which is a fundamental human right of all patients (Musallam et al., 2025). Encourages the delivery of high-quality nursing care and evidence-based procedures that result in patients receiving safe and effective nursing care (Ajil et al., 2024).

The use of non-invasive, non-pharmacological, simple, and cost-effective nursing practices provides substantial benefits for children and their families, alleviating the financial strain on parents (Jadhav et al., 2024). Unlike drug treatments, complementary therapies are economical with no serious side effects or drug interactions, simple and well accepted by the patients. Complementary therapies are important because nurses can perform them independently without physician orders, promoting professional autonomy (Mansouri et al., 2017). The goal of complementary therapies is to help patients feel more comfortable physically and mentally. One of the nursing interventions that fall under these therapies is breathing control and relaxation, which is gaining increasing popularity (Salehipour & Ghaljeh, 2021). Recent evidence highlights that deep breathing techniques effectively alleviate pain during invasive paediatric procedures, reinforcing their role as an accessible, non-pharmacological approach in nursing practice (Shawq, 2024). The core of human life is breathing; the sympathetic nervous system, which controls blood pressure, heart rate, circulation, and other body processes, can be intentionally influenced by breathing (Bergeri & Daruwala, 2025).


Breathing exercises, sometimes referred to as "deep breathing" or "diaphragmatic breathing", are described as an efficient way to educate the body and mind to manage stress and psychosomatic disorders. By tightening the diaphragm, expanding the abdomen, and lengthening the inhale and expiration, diaphragmatic breathing lowers breathing rate and raises blood gas levels (Ma et al., 2017). There are several benefits to deep breathing exercises. It soothes the child, helps the body detoxify, eases pain, straightens the child's posture, regulates the heart, lungs and lowers blood pressure (Yendodu et al., 2023). According to the Aritonang study (2020), practising deep, calm breathing can lower blood pressure, relax tense muscles and distract patients from their pain. The slow, deep breathing technique that is frequently used to lessen chronic pain makes this clear (Shawq, 2024).


Another breathing technique is slow breathing exercises, which increase the activity of the cardiac sympathetic system in health and disease. A study by Das and Ferdousi (2022) was conducted in Bangladesh on 60 male thalassaemia patients who were given blood transfusions. They performed slow breathing exercises for 3 consecutive months alongside conventional treatment. The study concluded that slow breathing exercises can improve autonomic dysfunction of the heart by restoring the activity of the vagus nerve to the heart and reducing sympathetic activity, with the autonomic balance shifting to a predominance of the parasympathetic nervous system in patients. Combining guided imagery with progressive muscle relaxation has been shown to enhance pain control and emotional well-being in paediatric patients, offering greater benefits than breathing exercises alone (Weydert et al., 2006). Autonomic dysfunction is a frequent complication in transfusion-dependent thalassaemia, highlighting the importance of incorporating autonomic assessments into clinical care (Carceller et al., 2023).


Aim of the Study

This study aims to evaluate the physiological effects of a deep breathing-based nursing intervention on children with thalassaemia during blood transfusion. It focuses on measuring changes in physiological parameters, such as heart rate, respiratory rate, blood pressure, oxygen saturation, and temperature, to determine the effectiveness of deep breathing in improving the physiological response to blood transfusion.

Objectives

  1. Measuring physiological parameters of children with thalassaemia receiving blood transfusions.

  2. Teaching children and applying the deep breathing technique during blood transfusions.

  3. Measuring physiological parameters of children with thalassaemia receiving blood transfusions after applying the deep breathing technique.

Research/Alternative Hypotheses

Deep breathing technique may have a positive effect and improve physiological parameters in children with thalassaemia who receive blood transfusions in the study group compared to the control group.

Null Hypothesis

There is no significant difference in physiological parameters (heart rate, respiratory rate, blood pressure, oxygen saturation, temperature) between the intervention (deep breathing) and control groups of children with thalassaemia receiving blood transfusion.

METHODOLOGY


Research Design


The study employed a quasi-experimental research design (Hyeon & Oh, 2025).


Setting


The study was conducted at the Thalassaemia Center for Genetic Blood Disorders at Al-Kut Hospital for Women and Children in Kut, the capital of Wasit Governorate, Iraq. Rehabilitated and opened in 2018, the centre receives 550 thalassaemia patients per month, most of whom are children, providing them with blood and the necessary treatment.


Sample


The study sample consists of children diagnosed with thalassaemia and receiving blood according to their schedule of transfusion. The target population of the study is 80 children. Participants were divided into two groups: an intervention group and a control group. The intervention group and the control group. In each group, a minimum sample size (40) is required based on a convenience sampling technique based on the Richard Geiger equation, with a 50% response distribution, a 95% confidence level, and a 5% margin of error, following recommended approaches for quasi-experimental nursing research (Shawq & Ali, 2019; Hyeon & Oh, 2025).


þÿ

Inclusion/Exclusion Criteria

The study sample consisted of children with thalassaemia receiving blood, aged 7-13 years, males and females, and all children participating in the study are conscious. Exclusion criteria were children having respiratory and cardiac diseases, no respiratory infection or disorder, age less than 7 years or older than 13 years, and participation in the pilot study. Children who participated in the pilot study were excluded from the main analysis to avoid practice effects and ensure the independence of observations, thereby preserving the internal validity of the study.

Tools of Data Collection

The Study Includes Two Instruments

The first: socio-demographic characteristics of thalassaemia patients. This section deals with collecting some basic socio-demographic and medical information about the affected children, including age, sex, and the type of thalassaemia.

The second: Heart rate, respiratory rate, blood oxygen saturation, temperature, and blood pressure were measured for children with thalassaemia aged 7-15 who received blood transfusions. One chart for each child to record the parameters once before blood donation, during the procedure (three times every half hour) and once after completing the blood transfusion. For evaluating the effectiveness of the deep breathing technique on stabilisation of physiological parameters.

Validity of the Study Instrument

The validity process is used to ensure that the tool measures the things it was designed to measure. Validity was evaluated by 12 specialists with more than ten years of experience. Nine experts from the faculty of the College of Nursing, University of Baghdad (3 from the Department of Paediatric Nursing, 4 from the Department of Basic Sciences, and 2 from the Department of Adult Nursing). Two experts from the faculty of the College of Nursing, University of Kufa, and one expert from the faculty of the Department of Paediatrics, College of Nursing, University of Dhi-Qar. Some paragraphs were modified according to the experts’ suggestions and comments, and finally the tool conformed to their opinions.

Reliability of the Study Instrument

Collecting reliable data is always a goal for the researcher; reliability means an instrument's consistency, stability, and measuring the accuracy of the instrument. The equivalency reliability is measured by the interrater. The accuracy of the researcher's reading of physiological parameters and distress in patients with thalassaemia receiving blood transfusions was compared with the reading of the participant observer at the same time and for the same sample on the observation chart separately, before and after the intervention was applied.

Pilot Study


The total sample, 10% (6 children with thalassaemia receiving blood transfusions), participated in a pilot study to test the effectiveness, clarity, and time required for completion of the study tools. Appropriate modifications were made based on the results of the pilot study. Children included in the pilot study were subsequently excluded from the main study sample.


Fieldwork

Data for this study were collected from September 15, 2024, to March 2, 2025. The researcher implemented an intervention on 40 children with thalassaemia who were receiving blood transfusions.


Data were collected through a direct questionnaire by the researcher containing demographic data of the children. Physiological parameters (pulse, blood pressure, respiratory rate, oxygen saturation, and temperature) were measured directly by the researcher before blood, during blood three times every half hour, and after completing the blood transfusion process and recorded on a constructed chart. Children were trained to perform the deep breathing technique three times during the blood transfusion process every half hour and to measure the physiological parameters after applying the technique.


Intervention Group


Children with thalassaemia receive blood transfusions and experience physiological abnormalities that may be abnormal before, during, and after the transfusion.


In the study group, the affected children were taught a deep breathing technique. The child sits upright, places one hand on their navel and the other on their abdomen, inhales deeply through their nose, holds it for 3 seconds, and exhales very slowly through their mouth for approximately 6 seconds. This process is repeated 10 times at the beginning of the transfusion and every half hour, which lasts for approximately 1.5 to 2 hours.


Control Group


Infected children receiving blood transfusions received routine nursing care and physiological measurements, unlike the study group, whose physiological parameters were measured and deep breathing techniques were applied.


Statistical Analysis


The researcher used the Statistical Package for Social Sciences (SPSS) version 24 software to manage and analyse the study data. Both descriptive and inferential analyses for the date of the samples (Fadhil & Ajil, 2024). Results were tested for significance using the X2 test; a P value of less than 0.05 was deemed significant.


Ethical Consideration


The researchers obtained ethical clearance from the Research Ethics Committee of the Nursing College, University of Baghdad, Iraq, with reference number REC.15/14149 on 6th November 2024. This study also received approval from the Ministry of Planning (Central Statistical Organization), Iraq, with reference number 7472/8/1/3/1 on 12th November 2024.


The data collection process was in strict accordance with ethical considerations. Participants were not obligated to participate; parents and children were asked about their participation in the study. Parents were explained the purpose of the study and the benefits of the deep breathing technique, and they had the right to refuse or withdraw their children from the study without justification.

RESULTS


Table 1: Distribution of the Children According to Their Variables


Variable

Control

Intervention

Chi Square

Df

P-

Value

Sig

F

%

F

%

1.319

1

0.251

NS

Sex

Male

17

42.5%

23

57.5%

Female

23

57.5%

17

42.5%

Age

7 – < 9

11

27.5%

2

5.0%

10.267

9

0.329

NS

9 – < 11

6

15.0%

8

20.0%

11 – < 13

23

57.5%

30

75%

M±SD

10.75±.2.667

12.12±.2.052

Type of Thalassaemia

Major

35

87.5%

37

92.5%

8.700

1

0.073

NS

Intermedia

5

12.5%

3

7.5%

Minor

0

0%

0

0%

Total

40

100.0%

40

100.0%

F: frequency, %: percentage, M: mean, SD: standard deviation, BT: Blood Transfusions, NS: Non-Significant

This table 1 shows, the male sex was represented (57.5%, 42.5%) in the intervention and control groups. As for the ages, the highest percentage at age group 12-14 years (52.5%, 37.5%). Majority of them diagnosed with thalassaemia major (92.5%, 87.5%).


þÿ

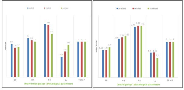
Figure 1: Mean Scores of the Sample Group’s Parameters Across the Measurement Period

This figure 1 shows that the mean scores of the physiological parameters in the control group increased at post-test, except for oxygen saturation, compared to the intervention group, who showed decreases in their parameters, except for oxygen saturation.

Table 2: Distribution of Physiological Parameters Measurement in the Control Group During Blood Transfusion Procedure


Physiological Variable

Pre

Mid

Post

Mean ± SD (Pre)

Mean ± SD (Post)

F

%

F

%

F

%

BP

Hypotension

19

47.5%

28

70.0%

12

30.0%

1.55 ± 0.552

1.70 ± 0.464

Normal

20

50.0%

12

30.0%

28

70.0%

Hypertension

1

2.5%

0

0%

0

0%

Pulse

Normal

33

82.5 %

29

72.5%

27

67.5%

2.18 ± 0.385

2.33 ± 0.474

Tachycardia

7

17.5%

11

28.5%

13

32.5%

RR

Normal

6

15.0%

3

7.5%

4

10.0%

2.85 ± 0.366

2.90 ± 0.304

Tachypnoea

34

85.0%

37

92.5%

36

90.0%

Oxygen

Hypoxia

24

60.0%

24

60.0%

18

45.0%

1.40 ± 0.496

1.10 ± 0.304

Normal

16

40.0%

16

40.0%

22

55.0%

Temp

Normal

40

100%.0

40

100.0%

40

100.0%

2.00 ± 0.000

2.00 ± 0.000

F: frequency, %: percentage, SD: standard deviation, BP: Blood Pressure RR: Respiratory Rate, Oxygen: Oxygen Saturation, Temp: Temperature; Bradycardia (Pulse), Bradypnea (RR), Hypothermia and Hyperthermia (temp) values are 0

This table 2 shows that the mean of blood pressure in the control group was 1.55±0.552 and after the procedure it was 1.70±0.464. The mean pulse rate was 2.18±0.385 and after the blood transfusion, it was 2.33±0.474. In terms of respiratory rate, it was 2.85±.366 before the procedure, while at the end it was 2.90±0.304. As for the mean oxygen saturation, it was 1.40±0.496 and at the end it became 1.10±0.304. The temperature did not change, and it was 2±0.

Table 3: Distribution of Physiological Parameters Measurement in the Intervention Group During Blood Transfusion Procedure


Physiological Variable

Pre

Mid

Post

Mean ± SD (Pre)

Mean ± SD (Post)

F

%

F

%

F

%

BP

Hypotension

8

20.0%

14

35.0%

7

17.5%

1.87 ± 0.51

1.70 ± 0.464

Normal

29

72.5%

26

65.0%

33

82.5%

Hypertension

3

7.5%

0

0%

0

0%

Pulse

Normal

32

80.0%

37

92.5%

40

100.0%

2.20 ± 0.405

2.00 ± 0.000

Tachycardia

8

20.0%

3

7.5%

0

0%

RR

Normal

0%

1

2.5%

22

55.0%

3.00 ± 0.000

2.45 ± 0.503

Tachypnea

40

100.0%

39

97.5%

18

45.0%

Oxyg

Hypoxia

34

85.0%

22

55.0%

7

12.5%

1.15 ± 0.361

1.82 ± 0.384

Normal

6

15.0%

18

45.0%

33

78.5%

Temp

Normal

40

100%.0

40

100.0%

40

100.0%

2.00 ± 0.000

2.00 ± 0.000

F: frequency, %: percentage, SD: standard deviation, BP: Blood Pressure RR: Respiratory Rate, Oxygen: Oxygen Saturation, Temp: Temperature; Bradycardia (Pulse), Bradypnea (RR), Hypothermia and Hyperthermia(temp) values are 0

This table 3 indicates that the mean blood pressure in the intervention group was (1.87±0.515), which changed to 1.70±0.464 after the procedure, while the mean pulse rate shifted from 2.20±0.405 to 2±0 following the blood transfusion. The respiratory rate was (3 ± 0) before the procedure and changed to 2.45 ± 0.503. The mean oxygen saturation changed (1.15±0.361 to 1.82±0.384) by the end of the process, and temperature remained constant at 2±0.

Table 4: The Differences Between Study Groups` Physiological Parameters Measurement


Physiological Parameters

Intervention Groups

Control Groups

Source

Type III Sum of Square

df

Mean Square

Sig.

Type III Sum of Square

df

Mean Squar e

Sig.

Blood Pressure

factor1

Sphericity Assumed

1.002

2

0.501

0.120

0.635

2

0.318

0.187

Error (factor1)

Sphericity Assumed

17.961

78

0.230

14.476

78

0.186

Pulse Rate

factor1

Sphericity

1.541

2

0.770

0.001

0.457

2

0.229

0.096

Assumed

Error (factor1)

Sphericity Assumed

8.311

78

0.107

7.394

78

0.095

Respiratory Rate

factor1

Sphericity Assumed

7.400

2

3.700

0.000

0.096

2

0.048

0.455

Error (factor1)

Sphericity Assumed

6.526

78

0.084

4.719

78

0.060

Oxygen Saturation

factor1

Sphericity Assumed

9.135

2

4.568

0.000

4.724

2

2.362

0.000

Error (factor1)

Sphericity Assumed

8.198

78

0.105

12.017

78

0.154

Significant = p≤ 0.05


This table 4 shows that there were no significant differences in the control group`s physiological parameters, except their oxygen saturation. In contrast, the intervention group`s measures showed a significant difference, except for their blood pressure measurement at p 0.05. Mean comparisons showed clear improvement in physiological parameters among children who received the deep-breathing intervention. Heart rate and respiratory rate decreased significantly from pre- to post-test, while oxygen saturation increased (p < 0.001 for all). Blood pressure showed no significant change (p > 0.05).


All enrolled participants were fully conscious at baseline and throughout measurement sessions; no alterations in level of consciousness were observed.


DISCUSSION


This study evaluated the effects of a structured, family-centred nursing intervention on both psychological comfort and physiological stability in children undergoing blood transfusion, specifically targeting heart rate, blood pressure and respiratory rate. Similar findings have been reported for breathing-based and relaxation-focused nursing interventions among children with transfusion-dependent thalassaemia. Recent research continues to demonstrate that structured breathing interventions improve both physiological and emotional outcomes in paediatric clinical settings. Controlled diaphragmatic breathing has been shown to significantly reduce peri-procedural anxiety and lower heart rate among children undergoing invasive therapy (Chakraborty et al., 2023; Abdulzahra & Shawq, 2024). Incorporating deep breathing within routine transfusion care has also been found to improve oxygen saturation and patient cooperation without requiring pharmacological sedation (Kaur & Dutta, 2024). Additionally, nurse-led relaxation and mindfulness techniques have been reported to activate parasympathetic responses, resulting in more stable vital signs during paediatric interventions (Ramos et al., 2022). Collectively, these findings reinforce the present study’s results, confirming that deep breathing can serve as a low-cost, physiologically effective intervention to enhance transfusion experiences.


Beyond music-based modalities, relaxation interventions—including progressive muscle relaxation and guided imagery—have demonstrated comparable efficacy. For example, guided imagery combined with relaxation has been reported to significantly decrease heart rate and blood pressure while improving mood in children undergoing medical procedures (Parizad et al., 2021).


Collectively, these findings suggest that psychosocially oriented nursing interventions can significantly stabilise physiological parameters by reducing sympathetic activity and enhancing parasympathetic regulation. These findings align with Kolcaba’s Comfort Theory (2003), which conceptualises comfort as relief, ease, and transcendence in physical, psychospiritual, sociocultural, and environmental contexts Shawq (2024). In this study, the observed stabilisation of heart rate and respiratory rate and the increase in oxygen saturation among the intervention group reflect the “relief” and “ease” dimensions of comfort. By using deep breathing to promote parasympathetic activation, nurses provided physiological and psychological comfort simultaneously, exemplifying the holistic principles central to Kolcaba’s framework (Kolcaba, 2003). Integrating structured, family-centred psychosocial strategies into transfusion protocols may reduce procedural stress and physiological dysregulation, potentially improving overall treatment tolerance and patient outcomes. This aligns with findings that family-centred care interventions can enhance patient satisfaction and reduce anxiety during medical procedures (Kwame & Petrucka, 2021).


Nonetheless, the generalisability of these findings is constrained by limitations such as the single-centre design and reliance on standard vital signs. Future research should incorporate objective biomarkers (e.g., heart rate variability, salivary cortisol), multicentre trials, and longitudinal follow-up to evaluate the sustained impact of such interventions. By situating this study within the robust evidence base, the authors affirm that family-centred nursing practices can exert tangible physiological benefits in paediatric transfusion care alongside psychological comfort—a dual impact that reinforces the value of holistic nursing interventions.


Clinical Implications for Paediatric Nursing Practice


Deep breathing exercises can be integrated into routine paediatric transfusion protocols as a non-pharmacological comfort measure. Nurses can instruct children to practise the breathing pattern during cannulation, initial transfusion stages, and periodic intervals to maintain relaxation and physiological stability. Implementing this within standard nursing care enhances patient participation, reduces procedural anxiety, and promotes smoother transfusion experiences.


Limitations


This study has several limitations. It was conducted in a single centre with a relatively small sample size, which may limit generalisability. Data collection relied on standard vital signs and self-reported anxiety, potentially overlooking subtle changes. Methodological constraints include limited randomisation and lack of long-term follow-up. Future research should use multicentre designs, larger samples, objective biomarkers, and longitudinal assessments to strengthen the evidence base and applicability of family-centred interventions in paediatric care.


CONCLUSION


Children with thalassaemia suffer from haemoglobin deficiency and therefore receive regular and continuous blood transfusions. During this medical procedure, they experience numerous health problems, including those related to physiological indicators and vital signs. Paediatric nursing focuses on addressing these issues through evidence-based interventions, including the deep breathing technique, which has a clear impact on most physiological indicators and attempts to achieve a normal state. Research and studies have proven this, so it was used in this study, in which the deep breathing technique was applied to patients with thalassaemia receiving blood transfusions at the Thalassaemia Genetic Blood Disease Center in Wasit Governorate from September 15, 2024, to March 2, 2025, and had a clear positive effect on physiological indicators. This study opens the door for broader research involving larger, multi-centre samples to confirm the effectiveness of deep breathing. Future studies may explore its long-term impact, integration with other non-pharmacological methods, or its application through digital tools to support wider clinical use.

Recommendation

Deep breathing guidance can be incorporated into pre-transfusion nursing checklists. Paediatric nurses can be trained in child-friendly relaxation and breathing instruction techniques. Comfort-focused interventions—such as deep breathing—must be included in hospital transfusion policies and electronic nursing records to ensure the standardisation of holistic care. Longitudinal and multicentre studies should be conducted to evaluate the sustained effects on anxiety, physiological parameters, and transfusion tolerance.

Conflict of Interest

The authors declare that they have no conflict of interest.

ACKNOWLEDGEMENT

The authors express their sincere gratitude to the participating children and their parents for their cooperation and trust. Special thanks are extended to the nursing staff of the Thalassaemia Center for Genetic Blood Disorders at Al-Kut Hospital for Women and Children, Iraq, for their dedicated support during data collection. Appreciation is also due to the College of Nursing, University of Baghdad, Iraq and the Wasit Health Directorate, Iraq, for facilitating administrative and ethical approvals that made this study possible.

REFERENCES

Abdulzahra, F. A., & Shawq, A. H. (2024). Mobile application to develop nurses’ knowledge of pediatric cardiopulmonary resuscitation: A quasi-experimental study. Journal of Emergency Medicine, Trauma and Acute Care, 2024(6). https://doi.org/10.5339/jemtac.2024.absc.7

Aritonang, Y. A. (2020). the effect of slow deep breathing exercise on headache and vital sign in hypertension patients. Jurnal Keperawatan Padjadjaran, 8(2), 166–174. https://doi.org/10.24198/jkp.v8i2.1320

Bergeri, A. S., & Daruwala, S. S. (2025). Effectiveness of abdominal deep breathing exercises in managing blood pressure among hypertensive patients. Cureus, 17(2), e78393. https://doi.org/10.7759/cureus.78393

Carceller, F., Corley, E. A., King, A., Zebian, B., Mandeville, H. C., & Marshall, L. V. (2023). COVID‐related transaminitis confounding toxicity attribution in a child with brain tumour on targeted therapy. Paediatric Blood & Cancer, 70(3). https://doi.org/10.1002/pbc.29987

Chakraborty, R., Banerjee, A., & Mitra, S. (2023). Effect of diaphragmatic breathing on anxiety and vital signs in paediatric invasive procedures. Journal of Pediatric Nursing, 68, 112–119. https://doi.org/10.1016/j.pedn.2023.02.007

Chouhan, M. S., & Pujari, J. (2021). Nurses’ Knowledge and role on care of children with Thalassemia. International Journal of Health Sciences and Research, 11(3), 156-161. https://www.ijhsr.org/IJHSR_Vol.11_Issue.3_March2021/IJHSR-Abstract.025.html

Das, K. C., & Ferdousi, S. (2022). Slow breathing exercise improves cardiac autonomic dysfunction in male patients with transfusion dependent thalassemia: A power spectral analysis of heart rate variability. International Journal of Clinical and Experimental Physiology, 9(2), 88–92. https://doi.org/10.5530/ijcep.2022.9.2.18

Fadhil, A. A., & Ajil, Z. W. (2024). Nurses’ knowledge towards patients’ safety and reducing errors in paediatric hemodialysis centers. Journal of Science in Medicine and Life, 2(4), 54– 60. https://www.researchgate.net/publication/382175221_Nurses'_Knowledge_towards_Patients'

_Safety_and_Reducing_Errors_in_Paediatric_Hemodialysis_Centers

Hyeon, R., & Oh, W.-O. (2025). Virtual reality education for preventing safety incidents in paediatric hospital settings: Quasi-experimental design pre-post-testing. Journal of Paediatric Nursing, 80, 56–63. https://doi.org/10.1016/j.pedn.2024.11.005

Jadhav, S. K., Naregal, P. M., Mohite, V. R., & Karale, R. B. (2024). Impact of foot reflexology versus simple massage on vital signs, anxiety, and pain during blood transfusion among children with thalassemia. Cureus, 16(8), e67876. https://doi.org/10.7759/cureus.67876

Kaur, J., & Dutta, P. (2024). Integrating deep breathing and relaxation into paediatric transfusion protocols: A quasi-experimental study. Clinical Nursing Research, 33(4), 489– 501. https://doi.org/10.1177/10547738241234567

Kolcaba, K. (2003). Dr. Katharine Kolcaba, RN. A Vision for Holistic Health Care and Research. Springer Publishing Company. https://pmhealthnp.com/wp- content/uploads/2019/05/Comfort-Theory-Application.pdf

Kwame, A., & Petrucka, P. M. (2021). A literature-based study of patient-centered care and communication in nurse-patient interactions: barriers, facilitators, and the way forward. BMC Nursing, 20(1), 158. https://doi.org/10.1186/s12912-021-00684-2

Ma, X., Yue, Z.-Q., Gong, Z.-Q., Zhang, H., Duan, N.-Y., Shi, Y.-T., Wei, G.-X., & Li, Y.-F.(2017). The effect of diaphragmatic breathing on attention, negative affect and stress in healthy adults. Frontiers in Psychology, 8. https://doi.org/10.3389/fpsyg.2017.00874

Mansouri, A., Shadadi, H., Poudineh-Moghadam, M., Vahed, A. S., & Dehghanmehr, S. (2017). Evaluation of the effect of foot reflexology massage on vital signs and anxiety after blood transfusions in children with thalassaemia. Bali Medical Journal, 6(3), 623-629. https://doi.org/10.15562/bmj.v6i3.622

Musallam, K. M., Cappellini, M. D., Porter, J. B., Farmakis, D., Eleftheriou, A., Angastiniotis, M., & Taher, A. T. (2025). TIF guidelines for the management of transfusion‐dependent β‐Thalassaemia. HemaSphere, 9(3), 1-5, e70095. https://doi.org/10.1002/hem3.70095

Nishikawa, A., Fujimori, Y., Sakano, N., Mushino, T., Tamura, S., Kasahara, S., Akasaka, H., & Sonoki, T. (2021). Remote vital signs data monitoring during home blood transfusion: A pilot study. Health Science Reports, 4(3), e380. https://doi.org/10.1002/hsr2.380

Panteli, M., Vun, J. S. H., Ahmadi, M., West, R. M., Howard, A. J., Chloros, G., Pountos, I., & Giannoudis, P. V. (2023). Blood loss and transfusion risk in intramedullary nailing for subtrochanteric fractures. Transfusion Medicine, 33(1), 49–60.https://doi.org/10.1111/tme.12904

Parizad, N., Goli, R., Faraji, N., Mam-Qaderi, M., Mirzaee, R., Gharebaghi, N., Baghaie, R., Feizipour, H., & Haghighi, M.-M. (2021). Effect of guided imagery on anxiety, muscle pain, and vital signs in patients with COVID-19: A randomized controlled trial. Complementary Therapies in Clinical Practice, 43, 101335. https://doi.org/10.1016/j.ctcp.2021.101335

Ramos, L. F., Pinto, S. P., & Vega, C. (2022). Nurse-led mindfulness and breathing interventions improve physiological stability in hospitalised children. BMC Nursing, 21, 295. https://doi.org/10.1186/s12912-022-01025-9

Roney, J. K., Long, J. D., Cason, E. R., Johnston, L. M., Emery, E., Deleon, M., Whitley, B. E., & Baggerly, K. (2022). Detecting blood transfusion reactions: What are vital signs anyway? Nursing Forum, 57(3), 486–490. https://doi.org/10.1111/nuf.12697

Salehipour, S., & Ghaljeh, M. (2021). The effect of Benson relaxation technique on anxiety and aggression in patients with thalassemia major: a Clinical Trial Study. Pakistan Journal of Medical & Health Sciences, 15(3), 753-758. https://pjmhsonline.com/2021/march/753.pdf

Shawq, A., Al-Musawi, K., Kalel, M., & Mahmod, A. (2025). The effects of music interventions on children's pain severity and anxiety during dressing changes in Iraq: A randomized controlled trial. Jurnal Keperawatan Soedirman, 20(1), 43-50. https://doi.org/10.20884/1.jks.2025.20.1.13100

Shawq, A. H. (2024). Effectiveness of deep breathing technique on pain level of school children during catheterization. Medical Journal of Babylon, 21(Suppl 1), S120–S125. https://doi.org/10.4103/mjbl.mjbl_258_23

Shawq, A. H., & Ali, E. G. (2019). Body image and physical perception of children with precocious puberty in Baghdad city. Indian Journal of Public Health Research & Development, 10(9), 587. https://doi.org/10.5958/0976-5506.2019.02494.X

Sheikhi, A. R., Naderifar, M., Abdullahi M. A, Mastalizadeh, H., Sheikhi, H. R. (2020). The effect of music therapy on the anxiety level of children with thalassemia major under blood transfusion. Archives Pharmacy Practice 2020,11(4), 66-69. https://surl.li/poiean

Sullivan, K. D., Richardson, G., Castillo, E., & Martinez, F. (2015). Evaluating the frequency of vital sign monitoring during blood transfusion: An evidence-based practice initiative. Clinical Journal of Oncology Nursing, 19(5), 516–520.https://doi.org/10.1188/15.CJON.516-520

Weydert, J. A., Shapiro, D. E., Acra, S. A., Monheim, C. J., Chambers, A. S., & Ball, T. M. (2006). Evaluation of guided imagery as treatment for recurrent abdominal pain in children: A randomized controlled trial. BMC Pediatrics, 6(1), 29. https://doi.org/10.1186/1471-2431- 6-29

Yendodu, V., Nirmala, S., & Nuvvula, S. (2023). Effect of deep breathing exercise using smartwatch on behaviour, anxiety and pain in children during buccal infiltration anaesthesia-a randomised clinical trial. Journal of Clinical and Diagnostic Research, 17(5), ZC16-ZC20. https://doi.org/10.7860/JCDR/2023/60275.17847