The Role of Nursing in Supporting the Daily Living Activities of Children with Developmental Coordination Disorder

Shaimaa Hashim Radi Mohsen*, Adraa Hussein Shawq

Department of Paediatric Nursing, College of Nursing, University of Baghdad, Bab Al Muadham, Baghdad 10047, Iraq


*Corresponding Author’s Email: shaimaa.radi2304m@conursing.uobaghdad.edu.iq


ABSTRACT


Background: Traditional nursing intervention often lacks structured engagement, limiting their effectiveness in promoting its objectives. Task-Oriented Training (TOT) has emerged as an evidence-based strategy to improve motor coordination skills in children with Developmental Coordination Disorder (DCD). Despite the growing recognition of task- oriented nursing intervention programs, there remains a notable research gap concerning their long-term effects. Objectives: This nursing investigation objective to enhance motor skills of daily living activities for children with DCD. Methods: This quasi-experimental study employed baseline data and follow-ups for 10 weeks post-training, conducted in primary public schools, Baghdad City. A non-random sample of 64 children with DCD was allocated into control and intervention groups. The intervention group received motor skills training, in contrast, the control group adhere to the standard daily educational schedule only. The enhancement of motor skills was measured by DCD Daily Q. The study is scheduled from November 17th, 2024, to January 23rd, 2025. Data were analysed using descriptive and inferential statistics. Results: The intervention group exhibited significant improvements in motor skills related to daily living tasks post-training, compared to the control group at p value 0.001. Conclusion: The task-oriented motor training program showed significantly enhances in motor skills and independence in children with DCD, highlighting the need for its implementation in healthcare settings, particularly for nurses aiding children in educational and therapeutic contexts.

Keywords: Daily Living Activities; Developmental Coordination Disorder; Fine and Gross Motor Skills; Paediatric Nurses; Task-Oriented Program

INTRODUCTION

Developmental Coordination Disorder (DCD) is a neurodevelopmental disorder that impairs motor coordination in children, leading to clumsy movements and difficulties in motor skill acquisition (Smits-Engelsman & Verbecque, 2022). Efforts have been made to create a standardised terminology for such conditions through medical criteria, symposiums, and literature. The DSM-V classifies DCD as a neurodevelopmental disorder with specific diagnostic criteria established as of 2013 (Blackman, 2016; Simó, 2022).

The prevalence of DCD in children is estimated at 2% to 20%, with a recognised international average of 5-6% (Blank et al., 2019; Cavalcante Neto et al., 2020, 2021; Subara-Zukic et al., 2022; Wilson et al., 2017), and males are diagnosed more frequently than females, with ratios ranging from 2:1 to 7:1 (Li et al., 2024; Simó, 2022). Additionally, DCD can persist into adulthood for 30-70% of those affected (Saban & Kirby, 2018).

Developmental Coordination Disorder (DCD) is marked by deficits in gross and fine motor skills, leading to clumsiness and difficulties with tasks such as manipulation, dressing, and writing. It commonly coexists with other disorders, such as developmental language disorders and Attention Deficit Hyperactivity Disorder (ADHD) (approximately 50%), as well as autism spectrum disorders (around 47%) and learning disabilities (Blank et al., 2019; Green & Payne, 2018; Ketcheson et al., 2021; Landgren et al., 2021; Licari et al., 2018; Pieters et al., 2015; Visser et al., 2022). The challenges presented by DCD significantly impact daily activities, academic success, social interactions, and job opportunities (Wilmut et al., 2022) along with secondary effects like increased anxiety (Harris et al., 2021; Shawq, 2024). negative self- image (Abdulzahra & Shawq, 2024; Wilmut et al., 2022) and susceptibility to bullying (Hervo et al., 2025; Ke et al., 2023).

Various factors, including self-perception, maternal health, family dynamics, and educational context, may contribute to the development of DCD in children. Research indicates that direct training methods are effective, but their success relies on empowering participants (Spencer & Chen, 2023). This empowerment requires healthcare professionals to enhance patient autonomy, build confidence, and promote self-management skills. Moreover, healthcare providers ought to permit participants to partake in a multitude of activities throughout the training process (Ding et al., 2024; Wray et al., 2025).

Consequently, in response to the motor difficulties experienced by children with developmental coordination disorder, various interventions have been devised to enhance motor coordination. Among these interventions, the task-oriented approach stands out as one of the most efficacious methods for the enhancement of motor skills (Ferguson et al., 2013; Jane et al., 2018). Nurses are tasked with the provision of direct patient care, the coordination with multidisciplinary medical teams, the provision of psychological and social support to children and their families, as well as the education of caregivers concerning appropriate home care methodologies (Bjartmarz et al., 2017; Shawq & Ali, 2019; Wang et al., 2021; Jianmiao et al., 2022; Eidan, & Shawq, 2024) Nurses play a significant role in alleviating the distress encountered by children and their families through comprehensive patient interactions (Woodgate et al., 2024). As the principal caregivers, they furnish not solely medical assistance but also emotional and spiritual guidance (Konukbay et al., 2024). Their role is particularly salient in comparison to other healthcare professionals, who engage in comparatively less direct patient care (Arslan & Akkoyun, 2022). Empirical studies underscore the challenges faced by parents, thereby accentuating the necessity for emotional and practical assistance (Abdi et al., 2025).

METHODOLOGY

Research Design

This quantitative study employed a quasi-experimental design to assess the impact of a nurse task-oriented motor skills training program on improving daily living activities in children with DCD. This methodology facilitates the establishment of a causal link between the independent variable (task-oriented motor skills training) and the dependent variable daily living activities (DLA). Participants were non-randomly (Pratiwi & Azhar, 2025; Maciejewski, 2020) allocated to two groups: Experimental Group: Those receiving task-oriented motor skills training; Control Group: Those continuing their regular daily activities without additional interventions.

Research Setting

The research was conducted in public schools in Baghdad's third Karkh sector, focusing on special education. Statistics from the Education Directorate revealed 73 primary schools in the area with special education classes. Four schools were chosen based on criteria including adequate sample size of children aged six to eight in special education. The double-shift system enabled three weekly visits, allowing division of the study group into two sections. The retention of intervention tools in these schools reduced transportation needs, enhancing logistical efficiency and standardising experimental conditions. A demographic balance was achieved between male and female participants, enabling analysis of gendered responses to the intervention.

Research Sample

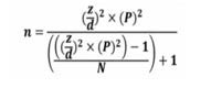
The research comprised 64 children diagnosed with DCD, aged six to nine, including both genders and those with additional disorders like autism. Inclusion criteria were based on the DSM-5 guidelines by the APA (Widiger, 2015), while children with severe cognitive impairments or critical medical issues were excluded from the study. In each group required a minimum sample size is 32, determined using the Richard Geiger Equivalent.


A black rectangular object with black text

AI-generated content may be incorrect.

The calculation was based on a population proportion of 50%, representing the highest expected variability, with a 5% error probability, a 95% confidence level, and a standard score of 1.96 corresponding to this confidence level.

Measurement Instrument

Developmental Coordination Disorder Daily Questioners (DCD Daily-Q):

The DCD Daily-Q is a 23-item questionnaire designed for parents, addressing children's participation and performance across a wide spectrum of Activities of Daily Living (ADL), encompassing self-care (10 items), fine motor (7 items), and gross motor activities (6 items) (van der Linde et al., 2014). This instrument is the first to provide a comprehensive evaluation of the various difficulties encountered by children with DCD in relation to ADL in their daily lives (Blank et al., 2019).

Data Collection and Intervention

Data were gathered through parent-completed questionnaires regarding children's daily living skills. The intervention spanned ten weeks, comprising three one-hour sessions weekly, with a WhatsApp group established for parental engagement. Assessments were conducted prior to the intervention, at six weeks into the intervention, and at the conclusion of the program at ten weeks. The training environment consisted of a specialised classroom aimed at improving motor skills for children with developmental coordination disorder. The schoolyard was organised for activities, with the program structured into three modalities: Self-care skills involved role-playing activities related to personal hygiene and daily tasks. Fine Motor Skills included realistic practice with wooden boards for tasks like writing and opening packages. Gross Motor Skills focused on play-oriented group activities facilitated by the researcher and educators, including jumping rope and Lego constructions.

Data Analysis

Data analysis utilised SPSS version 26, employing both descriptive and inferential statistics. Descriptive statistics analysed demographic data, including control and study groups. A paired t-test was used to compared pre, mid, and post-intervention results within the study group, while an independent t-test was applied to assess differences between the study and control groups.

Ethical Consideration

The study received ethical approval from the Committee of Scientific Research (CSR) at the College of Nursing, University of Baghdad, Iraq with reference number 46 on November 7th 2024. Also, this study obtained approval from the Ministry of Planning (Central Statistical Organization) on November 11th 2024.

RESULTS

Table 1: Distribution Study Sample for their Demographic Variables


Demographic Variables

Categories

Groups

Intervention

Control

Total

F

%

F

%

F

%

Sex

Male

17

53.1%

17

53.1%

34

53.1%

Female

15

46.9%

15

46.9%

30

46.9%

Age

Mean ± SD

7.34 ± 1.096

7.06 ± .982

7.20 ± 1.042

Total

32 (100%)

32 (100%)

64 (100%)

Table 1 shows that, male percentage was higher than female in the intervention and control groups (53.1%), and their mean of age M±SD in both groups (7.34±1.096, 7.06±0.982) respectively.

Table 2: The Differences of Mean between Study Groups in their Daily Living Activities


DCD Daily Q

Time point

Groups

Statistical tests

Intervention M± SD

Control M± SD

T test

p

value

Cohen’s d

95% Cl

Significance

Participation

Pre test

71.12±7.09

69.37±10.13

-0.116

0.908

0.20

-2.62, 6.12

NS

Mid-point test

60.78±9.08

68.06±9.95

-14.196

0.001

-0.76

-12.04, -2.52

HS

Post test

44.21±8.72

69.87±9.43

-64.118

0.001

-2.83

-30.20, -21.12

HS

Paired sample test

2- Way ANOVA

67.000

1.93

p value

0.000

0.584

Quality

Pre test

62.09±8.72

61.23±6.79

0.254

0.801

0.11

-3.5, 6.12

NS

Mid-point test

52±6.98

59.95±6.50

-16.689

0.001

-1.18

-11.32, -4.58

HS

Post test

37.71±6.72

60.54±6.42

-51.013

0.001

-3.47

-26.12, -19.54

HS

Paired sample test

2- Way ANOVA

64.000

1.54

p value

0.000

0.844

Acquisition

Pre test

21.34±1.55

20.75±2.56

-0.418

0.678

0.28

-0.47, 1.65

NS

Mid-point test

17.81±1.90

19.23±2.34

-18.395

0.001

-0.67

-2.49, -0.35

HS

Post test

14.18±1.49

20.06±2.10

-27.929

0.001

-3.23

-6.79, -4.97

HS

Paired sample test

2- Way ANOVA

61.000

2.34

p value

0.000

0.368

M: Arithmetic mean, SD: standard deviation, CI: confidence intervals, Cohen’s d: effect sizes. NS: non-significant, HS: highly significant, p value ≤ 0.05.

Table 2 presents between-group comparisons of Participation, Quality, and Acquisition across pre-, mid-, and post-tests. Significant differences emerged at mid- and post-tests in all domains (all p < 0.001), with moderate effect sizes at mid-test (Cohen’s d = –0.67 to –1.18) and large effects at post-test (–2.83 to –3.47).

A comparison of a graph

AI-generated content may be incorrect.

Figure 1: Mean Score of Daily Living Activities in Intervention and Control Groups at Post-test

This Figure 1 shows the mean scores of subscales: self-care, fine and gross motor for DCD daily questionnaire were less than compared to the control children.

DISCUSSION

Developmental Coordination Disorder (DCD), acknowledged and categorised as a substantial impairment in motor learning abilities, necessitates that this specific cohort of children be provided with additional opportunities to thoroughly explore and acquire motor skills in a holistic manner. As reported by the World Health Organization (WHO), approximately 16% of children globally encounter substantial impairments (WHO, 2022). The present research aims for clarifying the influence of task-oriented training program. In alignment with the foundational principles delineated by the European Academy for Childhood Disability (EACD), it is proposed that task-oriented strategies epitomise the most effective intervention methodologies for children diagnosed with DCD, as these approaches currently present the most advantageous ratio of cost to benefit, thereby emphasising their significance in therapeutic applications (Farhat et al., 2025). The multifaceted appraisal yields invaluable insights into the specific difficulties faced by children when attempting to perform ADLs, encompassing factors pertinent to learning and participation, as well as the intricate interdependencies that exist among these essential domains of development (Gao et al., 2024; Omran & Shawq, 2024).

Nevertheless, the prevailing corpus of literature concerning the consequences of task-oriented interventions especially those executed within a group framework on the motor performance and coordination of children afflicted by DCD remains notably limited and inadequately investigated. As predicted, the control group comprising children with DCD exhibited no statistically significant alterations in any of the outcome measures following an extended period of nearly two and a half months devoid of any structured training intervention. The lack of normative developmental progression and engagement in these activities did not result in any discernible enhancements in performance metrics. The control group manifested no noticeable changes in any of the assessed outcome variables serves to corroborate the conclusion that the standard care practices currently in operation were ineffective in fostering any improvement in motor skills among the participating children.

The findings that have emerged from the results of this particular study strongly suggest that the implementation of interventions specifically aimed at enhancing motor skills plays an integral role in improving the overall quality of performance, learning capabilities, and participation levels in daily activities. An among children diagnosed with developmental coordination disorder; this assertion is further substantiated by a comprehensive review conducted by (Alghadier & Alhusayni, 2024). The aforementioned review underscores the importance of customising instructional approaches to align with the daily tasks and environments encountered by children with DCD, proposing that even short durations of training can yield considerable improvements in essential daily living skills (Azeez et al., 2023).

There exists an array of scholarly investigations, including those conducted by (Lee & Zwicker, 2021; Vens et al., 2022) which collectively underscore the critical importance of the early identification of developmental coordination disorder, a necessity that serves as the foundational underpinning for the establishment of a suitable educational and therapeutic framework, aimed at enhancing not only the quality of life for both the affected child and their parents but also at mitigating or alleviating the potential physical, emotional, and behavioural ramifications associated with this disorder.

Among the body of research, there are notable studies such as those conducted by (Smits- Engelsman & Verbecque, 2022; Wilson et al., 2017), which assert that the majority of school- aged children demonstrate a pronounced enthusiasm for engaging in play and are adept at acquiring foundational skills with relative ease, a phenomenon that is frequently facilitated through the medium of active play. Through this dynamic avenue of engagement, children are able to enhance their proficiency in various skills as they mature and accumulate experiential knowledge over time.

In light of these findings, researchers are positioned to draw the conclusion that age exerts a significant influence on the daily activities of children who are afflicted with Developmental Coordination Disorder (DCD). This relationship is contingent upon a multitude of factors, among which early intervention has been shown to diminish the adverse effects associated with DCD and foster improvements in the motor skills of children as they age. Furthermore, it is essential to recognise that social and environmental support systems provided by family, educational institutions, and the broader community play a pivotal role in facilitating skill enhancement and alleviating the challenges encountered by children grappling with DCD.

Limitations

The current nursing intervention investigated encountered numerous obstacles attributable to its pioneering nature as the inaugural study of its type. The most significant of these obstacles include the restricted availability of structured training programs specifically tailored for children diagnosed with developmental coordination disorder, in addition to the lack of standardised nursing protocols aimed at training pain-oriented motor skills. Furthermore, there exist logistical limitations within the educational system, which render the execution of randomised controlled trials unfeasible. Additional variables may also impact the study, such as parental engagement, teacher collaboration, and children's cognitive competencies. Furthermore, the small sample size reduces the statistical power and limits the generalisability of these findings. Future multi-site studies with larger and more heterogeneous samples are recommended to strengthen external validity.

CONCLUSION

Based on the findings derived from this investigation, nurse-led research indicated that the implementation of a systematic, task-oriented motor training regimen significantly enhances the execution of activities of daily living among children diagnosed with DCD. This intervention yielded notable advancements in both fine and gross motor competencies, particularly in the domains of throwing, catching, and kicking a ball. The findings underscore the criticality of initiating training at an early stage to foster autonomy and efficacy in motor performance. Subsequent inquiries should examine the long-term viability of these enhancements, Consequently, forthcoming research endeavours should focus on establishing standardised guidelines for nursing interventions and broaden the scope of the study to encompass various health and educational institutions, while also incorporating a larger and more heterogeneous sample.

The future scope of the study on the role of nursing in supporting daily living activities of children with Developmental Coordination Disorder (DCD) includes several avenues for further investigation. Future research can explore the long-term effects of task-oriented motor skills training on children with DCD, particularly beyond the 10-week post-training period used in this study. Investigating the sustainability of motor skill improvements over extended periods will be crucial in understanding the lasting impact of such interventions. Additionally, expanding the study to include diverse healthcare settings, such as hospitals and rehabilitation centres, will provide a broader perspective on the generalisability of the findings. It is also recommended to incorporate larger and more heterogeneous samples, including children with varying levels of severity and co-occurring conditions such as ADHD and autism, to assess how task-oriented training may benefit these subgroups. Finally, future studies could focus on developing standardised protocols for nurse-led task-oriented interventions, enabling consistent implementation across different regions and educational institutions.

Conflict of Interest

The authors declare that there is no conflict of interest.

ACKNOWLEDGEMENT

The authors conveys profound gratitude to the personnel of the College of Nursing at the University of Baghdad, Iraq as well as to the academic staff for their invaluable assistance throughout the research. The author expresses their heartfelt appreciation to the educators and caregivers within participating in public schools, whose contributions were instrumental in the successful implementation of this intervention. It is important to note that the study adhered strictly to ethical standards, with all materials and methodologies subjected to thorough review and endorsement by the relevant educational authorities.

REFERENCES

Abdi, F., Karamoozian, A., Lotfilou, M., Gholami, F., Shaterian, N., Niasar, A. A., Aghapour, E., & Jandaghian-Bidgoli, M. (2025). Effect of play therapy and storytelling on the anxiety level of hospitalized children: a randomized controlled trial. BMC Complementary Medicine and Therapies, 25(1), 23. https://doi.org/10.1186/s12906-025-04767-4

Abdulzahra, F. A., & Shawq, A. H. (2024). Mobile application to develop nurses’ knowledge of pediatric cardiopulmonary resuscitation: A quasi-experimental study. Journal of Emergency Medicine, Trauma & Acute Care, 2024(6), 7. https://doi.org/10.5339/jemtac.2024.absc.7

Alghadier, M., & Alhusayni, A. I. (2024). Evaluating the efficacy of gross-motor-based interventions for children with developmental coordination disorder: A systematic review. Journal of Clinical Medicine, 13(16), 4609. https://doi.org/10.3390/jcm13164609

Arslan, F. T., & Akkoyun, S. (2022). Nursing care of a cerebral palsy child patient according to Orem’s self-care deficit nursing theory: A case report. Journal of Education & Research in Nursing/Hemşirelikte Eğitim ve Araştırma Dergisi, 19(3). https://doi.org/10.5152/jern.2022.32548

Azeez, A. O., Hussain, A. H. M., & Shawq, A. H. (2023). Effectiveness of an educational program on nannies' practice regarding Cholera infection in the nurseries. Health Education and Health Promotion, 11(3), 349-356. https://doi.org/10.58209/hehp.11.3.349

Bjartmarz, I., Jónsdóttir, H., & Hafsteinsdóttir, T. B. (2017). Implementation and feasibility of the stroke nursing guideline in the care of patients with stroke: a mixed methods study. BMC Nursing, 16(1), 72. https://doi.org/10.1186/s12912-017-0262-y

Blackman, J. S. (2016). Review of diagnostic and statistical manual of mental disorders, clinical handbook of psychological disorders: A step-by-step treatment manual, 5th edition, and essentials of psychiatric diagnosis: responding to the challenges of DSM-V. Psychoanalytic Psychology, 33(4), 651–663. https://doi.org/10.1037/pap0000054

Blank, R., Barnett, A. L., Cairney, J., Green, D., Kirby, A., Polatajko, H., ... & Vinçon, S. (2019). International clinical practice recommendations on the definition, diagnosis, assessment, intervention, and psychosocial aspects of developmental coordination disorder. Developmental Medicine & Child Neurology, 61(3), 242-285.https://doi.org/10.1111/dmcn.14132

Cavalcante Neto, J. L., Steenbergen, B., Wilson, P., Zamunér, A. R., & Tudella, E. (2020). Is Wii-based motor training better than task-specific matched training for children with developmental coordination disorder? A randomized controlled trial. Disability and Rehabilitation, 42(18), 2611–2620. https://doi.org/10.1080/09638288.2019.1572794

Cavalcante Neto, J. L., Steenbergen, B., Zamunér, A. R., & Tudella, E. (2021). Wii training versus non-Wii task-specific training on motor learning in children with developmental coordination disorder: A randomized controlled trial. Annals of Physical and Rehabilitation Medicine, 64(2), 101390. https://doi.org/10.1016/j.rehab.2020.03.013

Ding, Y., Xu, J., Liang, Q. Y., Zheng, J. Q., Wang, F., Lin, Y., ... & Su, J. (2024). Effects of a nurse-led motor function rehabilitation training program for patients with ischemic stroke and family caregivers: study protocol for a randomized controlled trial. Trials, 25(1), 538. https://doi.org/10.1186/s13063-024-08392-3

Farhat, F., Ammar, A., Mezghani, N., Kammoun, M. M., Trabelsi, K., Gharbi, A., ... & Smits- Engelsman, B. (2025). The effect of task-oriented basketball training on motor skill-related fitness in children with developmental coordination disorder. Sports, 13(3), 62. https://doi.org/10.3390/sports13030062

Ferguson, G. D., Jelsma, D., Jelsma, J., & Smits-Engelsman, B. C. M. (2013). The efficacy of two task-orientated interventions for children with Developmental Coordination Disorder: Neuromotor Task Training and Nintendo Wii Fit training. Research in Developmental Disabilities, 34(9), 2449–2461. https://doi.org/10.1016/j.ridd.2013.05.007

Gao, J., Song, W., Zhong, Y., Huang, D., Wang, J., Zhang, A., & Ke, X. (2024). Children with developmental coordination disorders: A review of approaches to assessment and intervention. Frontiers in Neurology, 15, 1359955. https://doi.org/10.3389/fneur.2024.1359955

Green, D., & Payne, S. (2018). Understanding organisational ability and self-regulation in children with developmental coordination disorder. Current Developmental Disorders Reports, 5(1), 34–42. https://doi.org/10.1007/s40474-018-0129-2

Harris, S., Wilmut, K., & Rathbone, C. (2021). Anxiety, confidence and self-concept in adults with and without developmental coordination disorder. Research in Developmental Disabilities, 119, 104119. https://doi.org/10.1016/j.ridd.2021.104119

Hervo, J., Lançon, L., Levac, D. E., Mensah-Gourmel, J., Brochard, S., Bailly, R., & Pons, C. (2025). Virtual reality-based fine motor skills training in paediatric rehabilitation: a protocol for a scoping review. BMJ Open, 15(1), e090862. https://doi.org/10.1136/bmjopen-2024- 090862

Jane, J. Y., Burnett, A. F., & Sit, C. H. (2018). Motor skill interventions in children with developmental coordination disorder: a systematic review and meta-analysis. Archives of Physical Medicine and Rehabilitation, 99(10), 2076-2099. https://doi.org/10.1016/j.apmr.2017.12.009

Jianmiao, W. A. N. G., Zhang, Y., Yuanyuan, C. H. E. N., Mei, L. I., & Jingfen, J. I. N. (2022). Nurse-led motor function rehabilitation program for acute ischemic stroke: a randomized pilot study. Journal of Nursing Research, 30(6), e249. https://doi.org/10.1097/jnr.0000000000000529

Ke, L., Su, X., Yang, S., Du, Z., Huang, S., & Wang, Y. (2023). New trends in developmental coordination disorder: Multivariate, multidimensional and multimodal. Frontiers in Psychiatry, 14, 1116369. https://doi.org/10.3389/fpsyt.2023.1116369

Ketcheson, L. R., Pitchford, E. A., & Wentz, C. F. (2021). The relationship between developmental coordination disorder and concurrent deficits in social communication and repetitive behaviors among children with autism spectrum disorder. Autism Research, 14(4), 804–816. https://doi.org/10.1002/aur.2469

Konukbay, D., Vural, M., & Yildiz, D. (2024). Parental stress and nurse-parent support in the neonatal intensive care unit: A cross-sectional study. BMC Nursing, 23(1), 820. https://doi.org/10.1186/s12912-024-02458-y

Landgren, V., Fernell, E., Gillberg, C., Landgren, M., & Johnson, M. (2021). Attention- deficit/hyperactivity disorder with developmental coordination disorder: 24-year follow-up of a population-based sample. BMC Psychiatry, 21(1), 161. https://doi.org/10.1186/s12888-021- 03154-w

Lee, E. J., & Zwicker, J. G. (2021). Early identification of children with/at risk of developmental coordination disorder: A scoping review. Developmental Medicine & Child Neurology, 63(6), 649-658. https://doi.org/10.1111/dmcn.14803

Li, H., Ke, X., Huang, D., Xu, X., Tian, H., Gao, J., ... & Song, W. (2024). The prevalence of developmental coordination disorder in children: A systematic review and meta- analysis. Frontiers in Pediatrics, 12, 1387406. https://doi.org/10.3389/fped.2024.1387406

Licari, M. K., Reynolds, J. E., Tidman, S., Ndiaye, S., Sekaran, S. N., Reid, S. L., & Lay, B. S. (2018). Visual tracking behaviour of two-handed catching in boys with developmental coordination disorder. Research in Developmental Disabilities, 83, 280–286. https://doi.org/10.1016/j.ridd.2018.07.005

Maciejewski, M. L. (2020). Quasi-experimental design. Biostatistics & Epidemiology, 4(1), 38–47. https://doi.org/10.1080/24709360.2018.1477468

Omran, I., & Shawq, A. (2024). Assessment of Nurses’ knowledge about Children Safety post Cardiac Catheterization. Mosul Journal of Nursing, 12(2), 212–221. https://doi.org/10.33899/mjn.2024.184637

Pieters, S., Roeyers, H., Rosseel, Y., Van Waelvelde, H., & Desoete, A. (2015). Identifying subtypes among children with developmental coordination disorder and mathematical learning disabilities, using model-based clustering. Journal of Learning Disabilities, 48(1), 83-95. https://doi.org/10.1177/0022219413491288

Pratiwi, I. D., & Azhar, A. (2025). Research online purchase offline: Studying consumer behavior in purchasing fashion at Juragan Mode Shop in Bengkulu city. Pedagogic Research- Applied Literacy Journal, 2(1), 187-192. https://doi.org/10.70574/9d8tcm67

Shawq, A. H. (2024). Effectiveness of deep breathing technique on pain level of school children during catheterization. Medical Journal of Babylon, 21(Suppl 1), S120–S125. https://doi.org/10.4103/mjbl.mjbl_258_23

Shawq, A. H., & Ali, E. G. (2019). Body image and physical perception of children with precocious puberty in baghdad city. Scopus IJPHRD Citation Score, 10(9), 59. https://doi.org/10.5958/0976-5506.2019.02494.X

Simó, F. Z. (2022). Diagnostic and statistical Manual of Mental Disorders (DSM): To Be Or Not to Be. Különleges Bánásmód - Interdiszciplináris Folyóirat, 8(4), 95–103. https://doi.org/10.18458/KB.2022.4.95

Smits-Engelsman, B., & Verbecque, E. (2022). Pediatric care for children with developmental coordination disorder, can we do better? Biomedical Journal, 45(2), 250–264. https://doi.org/10.1016/j.bj.2021.08.008

Spencer, M. R. T., & Chen, J. (2023). Revisiting patient engagement and empowerment within the NIMHD health disparity framework. American Journal of Public Health, 113(2), 141–143. https://doi.org/10.2105/AJPH.2022.307170

Subara-Zukic, E., Cole, M. H., McGuckian, T. B., Steenbergen, B., Green, D., Smits- Engelsman, B. C., ... & Wilson, P. H. (2022). Behavioral and neuroimaging research on developmental coordination disorder (DCD): A combined systematic review and meta-analysis of recent findings. Frontiers in Psychology, 13, 809455. https://doi.org/10.3389/fpsyg.2022.809455

Saban, T. M., & Kirby, A. (2018). Adulthood in developmental coordination disorder (DCD): A review of current literature based on ICF perspective. Current Developmental Disorders Reports, 5(1), 9-17. https://doi.org/10.1007/s40474-018-0126-5

Eidan, T. A., & Shawq, H. A. (2024). Effect of a Nutritional Education Program on Mother Knowledge Regarding Their Children Nutritional Status. Journal of Obstetrics, Gynecology and Cancer Research, 9(5), 522-531. https://doi.org/10.30699/jogcr.9.5.522

van der Linde, B. W., van Netten, J. J., Otten, B. E., Postema, K., Geuze, R. H., & Schoemaker, M. M. (2014). Psychometric properties of the DCDDaily-Q: A new parental questionnaire on children’s performance in activities of daily living. Research in Developmental Disabilities, 35(7), 1711–1719. https://doi.org/10.1016/j.ridd.2014.03.008

Vens, N., Dewitte, G., Van Waelvelde, H., Bar-On, L., & De Roubaix, A. (2022). Developmental coordination disorder before the age of three: A longitudinal retrospective study in a belgian Center for Developmental Disabilities. Children, 9(3), 334. https://doi.org/10.3390/children9030334

Visser, L., Röschinger, J., Barck, K., Büttner, G., & Hasselhorn, M. (2022). Learning difficulties in children with symptoms of DCD and/or ADHD: analyses from a categorical and a continuous approach. International Journal of Disability, Development and Education, 69(5), 1505-1521. https://doi.org/10.1080/1034912X.2020.1786023

Wang, J., Zhang, Y., Chen, Y., Li, M., Yang, H., Chen, J., ... & Jin, J. (2021). Effectiveness of rehabilitation nursing versus usual therapist-led treatment in patients with acute ischemic stroke: a randomized non-inferiority trial. Clinical Interventions in Aging, 1173-1184. https://doi.org/10.2147/CIA.S306255

Widiger, T. A. (2015). Assessment of DSM–5 Personality Disorder. Journal of Personality Assessment, 97(5), 456–466. https://doi.org/10.1080/00223891.2015.1041142

Wilmut, K., Williams, J., & Purcell, C. (2022). Current perspectives on developmental coordination disorder (DCD). Frontiers in Human Neuroscience, 16, 837548. https://doi.org/10.3389/fnhum.2022.837548

Wilson, P. H., Smits‐Engelsman, B., Caeyenberghs, K., Steenbergen, B., Sugden, D., Clark, J.,... & Blank, R. (2017). Cognitive and neuroimaging findings in developmental coordination disorder: new insights from a systematic review of recent research. Developmental Medicine & Child Neurology, 59(11), 1117-1129. https://doi.org/10.1111/dmcn.13530

Woodgate, R. L., Gonzalez, M., Ripat, J. D., Edwards, M., & Rempel, G. (2024). Exploring fathers’ experiences of caring for a child with complex care needs through ethnography and arts-based methodologies. BMC Pediatrics, 24(1), 93. https://doi.org/10.1186/s12887-024- 04567-8

World Health Organization (WHO). (2022). Global report on health equity for persons with disabilities. https://www.who.int/teams/noncommunicable-diseases/sensory-functions- disability-and-rehabilitation/global-report-on-health-equity-for-persons-with-disabilities

Wray, J., Russell, J., Gibson, F., Kenten, C., & Oulton, K. (2025). The forgotten voices: enabling children and young people with intellectual disability to express their views on their inpatient hospital experience. Health Expectations, 28(1), e70168. https://doi.org/10.1111/hex.70168