The Effect of Inventory Control on The Performance of Small and Medium-Sized Enterprises in Douala

George Atongang Owajege*, Akram Abdulsamad Ali Saif

Lincoln University College, Wisma Lincoln, 12-18, Jalan SS 6/12, 47301 Petaling Jaya, Selangor, Malaysia

*Corresponding Author Email: Owajege.phdscholar@lincoln.edu.my

Abstract


Introduction: Ineffective inventory control can sometimes hinder the effectiveness of small and medium-sized firms (SMEs), despite their critical role in employment and economic development. This study examines the impact of three inventory-control techniques, i.e., Economic Order Quantity (EOQ), Just-in-Time (JIT), and ABC classification, on SMEs' performance in Douala, Cameroon. Methods: A cross-sectional field survey administered structured questionnaires to 120 SME managers/owners selected via purposive sampling (100% response). Data was analyzed using descriptive statistics, reliability testing (Cronbach’s α), and regression models (OLS and ordinal logit); diagnostic tests indicated no problematic multicollinearity. Results: EOQ is a strong, positive, and statistically significant predictor of reported SME performance (β = 0.718, SE = 0.117, t = 6.143, p < 0.001). JIT (β = 0.079, p = 0.478) and ABC (β = 0.028, p = 0.847) show positive but statistically insignificant effects. The regression model explains 28.5% of the variance in performance (= 0.285; F (3.116) = 15.44; p < 0.001). Conclusion: Findings indicate that affordable, computerized EOQ systems supported by staff training and regular stock reconciliation can yield measurable performance gains for SMEs. Effective adoption of JIT and ABC appears contingent on stronger supplier reliability, logistics, and managerial capacity. Limitations include cross-sectional design, purposive sampling, and reliance on self-reported performance; future research should use longitudinal designs, representative samples, and objective performance indicators.


Keywords: ABC Classification; Economic Order Quantity (EOQ); Inventory Control; Just-in-Time (JIT); SME Performance

Introduction

In both developed and developing nations, small and medium-sized businesses (SMEs) are increasingly recognized as key employers and indicators of economic growth. In addition to making goods and services that are usually out of reach for major enterprises available to immediate consumers, SMEs are essential in reducing unemployment (Gherghina et al., 2020). Small and medium-sized businesses (SMEs) remain crucial to a country's economy because they create jobs and help it grow, but they often struggle to deliver good customer service. Issues such as inadequate capital, insufficient infrastructure, and a shortage of skilled labor, among others, have sparked debates on whether SMEs can sustainably contribute to macroeconomic growth (Mer & Virdi, 2024).

SMEs are becoming increasingly known in the business world due to global trade, making them active participants in the global economy. SMEs' participation in roles such as manufacturing, trade, and service delivery has grown rapidly (Enaifoghe, 2024). Some of the consequences of SMEs include expanding product lines at the national, regional, and international levels, as well as technological innovations and breakthroughs. The importance of the SME sector varies from nation to nation based on the degree, trend, and rate of change in economic development; hence, its importance is not consistent across the globe.

Due to obstacles including a lack of capital, infrastructure, computing power, and information flow, SMEs are now up against fierce competition from both big businesses and other SMEs across all fronts (Dorasamy & Kikasu, 2024). The lack of high-quality information flow, which is frequently considered the foundation of a company's performance, depends on the inputs and outputs of information. These are ultimately enabled by the technology in use and the individual responsible for it (Abdulaziz et al., 2023). A company employs various inventory control strategies based on its needs. JIT systems, for instance, are utilized to meet current demand and offer the benefit of lower transportation, handling, and storage expenses (Vaka, 2024; Munyaka & Yadavalli, 2022). If the supply chain experiences disruptions or the business environment becomes unstable, JIT may also put a company at risk. JIT does, however, offer operational benefits, even though its successful and efficient implementation requires a strong supplier relationship.

The ability of management to make sound purchasing decisions and handle materials effectively has a significant impact on a company’s performance. According to Chen et al. (2023) and Nuhu (2025), senior management has increasingly demonstrated a strong commitment to implementing robust inventory control procedures and diversifying resources. Munyaka and Yadavalli (2022) and Vaka (2024) further emphasize that inventory control encompasses all activities involved in establishing and maintaining appropriate levels of raw materials, work-in-progress, and finished goods. These practices ensure that sufficient supplies are available while minimizing the costs associated with carrying either excess or insufficient inventory.

According to Rashid et al. (2024), in their study on the effect of improved demand visibility on inventory control efficiency, inventory control entailed organizing, planning, and regulating the movement of materials from the point of initial purchase through internal operations to the service point via distribution. Inventory control maintains the most economical quantity of a particular type of asset to increase the overall value of the organization's assets, including its material and human resources.

SMEs employ inventory control to increase operational efficiency by ensuring that consumers are delighted with the timely delivery of goods and services (Panigrahi et al., 2019). It is also said that the inventory control system has a direct and indirect impact on an organization's profitability. Securing a scientifically determined balance between the many products that comprise the inventory is the essential issue, not calculating the inventory's overall size. For manufacturing and retail businesses to operate successfully, inventories are essential. These could include finished goods, work-in-progress, spare parts and consumables, and raw materials. An organization does not need all of these inventory classifications. Nevertheless, since a sizable portion of the company's funds is typically allocated to inventory, it requires effective management.

Meeting business goals in small and medium-sized firms (SMEs), such as increasing profitability, growth, productivity, and customer happiness, is known as SME performance. SME performance can be quantified using both financial (profit margins, market share, productivity, innovation capacity, and sales) and non- financial measures (customer retention and employee engagement) (Mahohoma, 2024). Forth and Bryson (2019) and Prasanna et al. (2019) found that business performance refers to a company's competitive positioning relative to key competitors in areas such as market share, brand name, product and services awareness, responding to challenges, and establishing strategies about merchandising, distribution, marketing, financial, promotional, and supplier networks. Shad et al. (2019) stated that evaluating an organization's or business's performance is important because it provides information about its goals and how well they were achieved.

In empirical research, especially in logistics and supply chain contexts, the success of small and medium-sized enterprises (SMEs) is often studied through resource optimization and strategy alignment. Kalaiarasan et al. (2022) argued that small and medium-sized businesses (SMEs) that used optimized internal processes, such as inventory control and digital integration, performed better than those that did not, as they incurred lower operating costs and delivered better service.

Research Objectives

  1. To examine the effect of EOQ inventory control on the performance of small and medium-sized enterprises in Douala.

  2. To determine the effect of just-in-time inventory control on the performance of small and medium- sized enterprises in Douala.

  3. To assess the extents to which the ABC inventory control affects the performance of small and medium-sized enterprises in Douala.


Research Hypotheses

Following the questions above, the following hypotheses will guide this study:


H1: EOQ inventory control has no significant effect on the performance of small and medium-sized enterprises in Douala.

H2: Just-in-time inventory control has no significant effect on the performance of small and medium-sized enterprises in Douala.

H3: ABC inventory control has no significant effect on the performance of small and medium-sized enterprises in Douala.

Methodology Scope and Area

This study investigated the effect of inventory control on the performance of small and medium-sized enterprises (SMEs) in Douala, Cameroon's Littoral region. It focused on three inventory control techniques:

  1. Just-In-Time (JIT) Inventory control, which is a way of managing inventory that aims to deliver materials precisely when they are needed to cut down on holding costs and waste (Kisty et al., 2025).

  2. ABC Inventory control, which is a method that groups items into three groups: A, B, and C, based on their value and importance. This helps businesses decide what to keep an eye on and where to put their resources (Silaen et al., 2025).

  3. Economic order quantity (EOQ) inventory control. The economic order quantity (EOQ) model determines the optimal order quantity by balancing the costs of ordering and holding to minimize total inventory costs (Sutejo et al., 2023).

Douala was chosen because it was a regional capital with many small and medium-sized businesses (SMEs) and the potential for more, as its population had grown quickly and was becoming more diverse (over a million people). It also has the infrastructure to support a wide range of small and medium-sized businesses (SMEs) and spanned rural, semi-urban, and urban areas (National Institute of Statistics, 2001; Ministry of Territorial Administration, Cameroon, 2022).

To get primary cross-sectional data from SME owners and managers, a field survey design was used. Structured questionnaires were the primary tool. The questionnaire had three parts: the respondent's history, the inventory processes, and business performance. In Sections B and C, the answers were on a 5-point Likert scale from "strongly disagree" to "strongly agree" (Hutchinson & Chyung, 2023). To avoid sensitivity, performance was measured indirectly, and inventory procedures were recorded by combining different claims into indices.

Population, Sample, And Technique

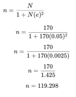
The study population comprised all formal SMEs in Douala. The sample size was determined using Yamane’s formula above, with a 5% or 0.05 margin of error (Hasan & Kumar, 2024). Rounding up to 120 ensured a sufficiently robust and statistically sound sample that supports conservative estimation and aligns with standard sampling practices.


A math equation with black text

AI-generated content may be incorrect.

N = Population, n = sample size, and e = margin of error. e2 = (0.05)2 = 0.0025

N multiplied by e2 = 170 * 0.0025 = 0.425 Adding 1 to N*e2 = 1.425

Using


A math equations on a white background

AI-generated content may be incorrect.


The sample size boiled down to


A number and a symbol

AI-generated content may be incorrect.

Given the informal nature of SME operations in Cameroon, this study employed purposive sampling. This method enabled data collection based on the researcher’s judgment of which SMEs qualified for inclusion in the study, while ensuring that all areas were covered (Nyimbili & Nyimbili, 2024). With a final sample size of 120 SMEs and a precision level of five percent (i.e., e=0.05), the estimated total population was 170 SMEs. Since this study was non-industry-specific, SMEs from all sectors of the Douala economy were included. This estimate represented the formally operating SMEs accessible within the Douala metropolis at the time of data collection.

Model Estimation

The relationship between inventory control and SME performance was modelled as: Perf = α0 + β1EOQ + β2JIT + β3ABC + ε
Where performance was the dependent variable, and ε was the error term. Ordinary least squares (OLS) regression was the primary estimation method, complemented by an ordinal logit model when performance was treated as categorical (Ramadan et al., 2024).

Data Analysis and Diagnostics

Data were coded and analyzed using SPSS and Microsoft Excel. Descriptive statistics, such as frequencies, means, and standard deviations, were used to summarize demographic and key study variables. The questionnaire's reliability was assessed using Cronbach’s alpha, with values above 0.70 considered acceptable (Bahire & Kwena, 2023). Furthermore, to examine the relationships among the variables, correlation and multiple regression were used to test the study's hypotheses. Diagnostic checks for multicollinearity (VIF), normality, and homoscedasticity confirmed the model's validity. Model fit was assessed through adjusted , while the F-test and t-statistics were used to determine the overall and individual variable significance. This analysis ensured that the results were statistically sound and that the conclusions about the effects of inventory control practices on SME performance were reliable.

Validity and Reliability

A structured, multi-stage validation process made sure that the research instrument was reliable and valid. Initially, the questionnaire underwent a pilot test with 25 SMEs, during which participants assessed the clarity, phrasing, and relevance of all items. Their comments helped identify unclear statements, leading to changes such as rewording JIT items related to delivery, clarifying cost-driver terms in the ABC section, and improving the EOQ "stock update frequency" item. By ensuring the instrument accurately reflected the constructs and was easy for respondents to understand, these changes improved both content validity and face validity. After the changes were made, Cronbach's alpha was calculated for all constructs. The reliability coefficients ranged from 0.71 to 0.82, which was higher than the usual 0.70 threshold for internal consistency.

Table 1: Construct Validity and Reliability


Construct / Scale

No. of Items

Cronbach’s α

(Before)

Cronbach’s α

(After Revision)

Key Adjustment(s)

EOQ Inventory Control


6


0.78


0.80

Minor rewording of the “stock update frequency” item

Just-in-Time Inventory

5

0.66

0.71

Clarified the delivery timeliness item

Activity-Based Costing (ABC)

5

0.72

0.74

Simplified cost-driver terminology

SME Performance

6

0.81

0.82

None

Overall reliability range

0.66–0.81

0.71–0.82

Instrument deemed satisfactory

Source: Researcher 2025

Table 1 indicate that each scale was more coherent after the change, indicating that the items in each construct consistently measured the same underlying idea. Pilot testing, expert-based refinement, and reliability testing worked together to ensure the final questionnaire was highly valid and reliable for measuring inventory control practices and SME performance in Douala.

Cronbach's alphas for each construct before and after the questionnaire were shown in Table 1 above. Also, the total number of items for each construct was shown in the table. A brief note enumerated the primary modifications made to the questionnaire before the final data collection.Throughout all stages of this research, strict adherence to internationally recognized ethical standards was maintained. All participants provided informed consent before data collection, meaning they understood the study and were participating voluntarily. To protect the rights and integrity of the participants, strict measures were taken to ensure both anonymity (by making sure that no personally identifiable information was collected) and confidentiality (by protecting all collected data from unauthorized access and using it only for this academic research) (Aithal & Aithal, 2020; Drolet et al., 2023).

Results

Descriptive statistics and OLS were used to analyze survey data from 120 SMEs in Douala (100% response). Multicollinearity was not an issue, according to diagnostics (tolerance >0.20; VIF, 3). Multiple R = 0.534 and = 0.285 (F = 15.44, p < 0.001) were obtained from the fitted model, suggesting that the three inventory predictors collectively accounted for around 28% of the variation in reported SME performance.

Table 2: Demographic Characteristics of Respondents


Variable

Category

Frequency

%

Sex

Male

67

55.8

Female

53

44.2


Age (Years)

20

11

9.2

20 – 29

65

54.2

30 -39

27

22.5

40 -49

12

10.0

≥ 50

5

4.2


Education

A – Level

39

32.5

HND

19

32.5

Bachelor’s

23

15.8

Masters

13

19.2

PhD

2

10.8

Other

24

1.7


Length of service

< 5

68

56.7

5 -10

32

26.7

11 – 15

10

8.3

>15

10

8.3


Position

Manager

19

15.8

Accountant

11

9.2

Cashier

14

11.7

Inventory Manager

15

12.5

Other

61

50.8

Source: Researcher 2025

Table 2 above shows that of the 120 respondents, 67 (55.8%) were men and 53 (44.2%) were women. Additionally, just 5 (4.2%) of the respondents were 50 years of age or older, while 11 (9.2%) were under 20, 65 (54.2%) were between 20 and 29, 27 (22.5%) were between 30 and 39, and 12 (10%) were between 40

and 49.19 (15.8%) of the respondents were managers, 11 (9.9%) were accountants, 14 (11.7%) were cashiers, and 15 (12.5%) were inventory controllers. In comparison, more than 61 (50.8%) held various jobs inside the companies.

The data also shows that 39 (32.5%) had A-Level certificates, 19 (15.8%) had HNDs, 23 (19.2%) had bachelor's degrees, 13 (10.8%) had master's degrees, 2 (1.7%) had PhDs, and 24 (20.0%) had other certifications. Based on years in the organization, 68 (56.7%) had worked for less than 5 years; 32 (26.7%) for 5–10 years; 10 (8.3%) for 11–15 years; and only 10 for more than 15 years.

Descriptive indicators showed strong endorsement of the computerized EOQ model, moderate adoption of JIT practices, and mixed reliability of supplier timing, and widespread but uneven application of ABC classification.


Table 3: Summary of Inventory-Control Indicators (Agree + strongly agree)


Practice Area

Indicator

% (Agree + SA)

EOQ inventory

Computerized balance control

77.5%

Computerized systems are preferred to manual systems

76.7%


Just-in-Time (JIT)

The organization makes formal inventory plans

87.5%

There is a timely reception of the inventory

55.8%

ABC classification

The ABC technique is effective

66.7%

Value is used to control inventory

79.2%

Source: Researcher 2025

Table 3 above shows the prevalence of positive endorsement (agree + strongly agree) for important practice indicators using the three focal inventory approaches. For EOQ-related goods, a substantial majority of enterprises supported computerized EOQ practice: 77.5% used computerized balance control, and 76.7% preferred computerized methods to manual procedures. For JIT, 87.5% of respondents said their company had formal inventory plans, but only 55.8% said they received goods on time, indicating a substantial disconnect between planning and actual reality. ABC adoption was moderate-to-high: 66.7% believe ABC classification was effective, and 79.2% say value (i.e., item valuation) was employed to manage inventory.

Table 4: Regression results: Effective Inventory Control on SME Performance (OLS)


Predictor

B

β

SE

t

p-value

EOQ inventory

0.718

0.495

0.117

6.143

P < .001

Just-in-Time (JIT)

0.079

0.066

0.111

0.711

0.478

ABC inventory

0.028

0.018

0.145

0.193

0.847

Source: Researcher 2025

A 5-point Likert scale (1 = strongly disagree, 5 = strongly agree) was used to measure all of the predictor variables. B shows unstandardized regression coefficients in Likert-scale units, while β showed standardized coefficients in standard deviation units, which do not have any units. SE stands for "standard error." Values are rounded to three decimal points. If the p-value is less than 0.001, it was written as p < 0.001.

Table 4 above presents the ordinary least squares estimates of the relationship between inventory techniques and the performance index. The model accounts for a considerable percentage of the variance in self-reported performance (R = 0.534, R² = 0.285) and is statistically significant (F (3,116) = 15.44, p < 0.001). The coefficient estimates (unstandardized) are as follows: EOQ inventory: B = 0.718 (SE = 0.117), t = 6.143, p < 0.001; JIT: B = 0.079 (SE = 0.111), t = 0.711, p = 0.478; ABC: B = 0.028 (SE = 0.145), t = 0.193, p = 0.847.”R2 = 0.285; F (3.116) = 15.44; p< 0.001.

Discussion

The study's results showed a clear difference in how inventory control methods affected SME performance in Douala. SMEs' performance was strongly, favorably, and statistically significantly predicted by EOQ inventory control (β = 0.718, p<0.001). The correlations for JIT and ABC were positive but not statistically significant (p>0.05). The model intercept, which showed baseline performance unrelated to these three practices, is noteworthy. Three empirical patterns emerged from the findings:

EOQ was the only statistically significant predictor, consistent with earlier research reported in the article. For example, Munyaka and Yadavalli (2022) and Vaka (2024) stressed that EOQ helped companies make better decisions by enabling them to maintain optimal stock levels, avoiding both shortages and excess stock. This theoretical foundation elucidated the substantial positive impact of EOQ, particularly in its computerized variant, which was commonly used by SMEs in this study, on performance. EOQ has always performed well in resource-constrained settings, such as Douala, because it does not depend on external supply chain conditions and has simple operational requirements.

On the other hand, the positive but statistically insignificant results for JIT highlighted the well-known problems that arose when it is implemented in the real world. Research, including Munyaka and Yadavalli (2022) and Vaka (2024), recognized that while JIT could lower handling and storage costs, its effectiveness was contingent upon stable supplier relationships, punctual delivery, and reliable logistics, which were conditions that this study's descriptive results indicated were not consistently met, as only 55.8% of respondents received inventory on time. This discrepancy between planning and operational reality corroborated the conclusion that JIT's anticipated advantages do not yield quantifiable performance improvements for SMEs in Douala.

The negligible impact of ABC classification reflected the apprehensions identified in the literature regarding internal capability deficiencies within SMEs. Panigrahi et al. (2019) and Oyetade et al. (2024) emphasized that ABC required continuous data collection, accurate cost-driver identification, and systematic categorization, capabilities, and frameworks that numerous SMEs found challenging to maintain. While 79.2% of participants in this study reported using value-based inventory control, the lack of a statistically significant effect suggested that many SMEs might be implementing ABC superficially, lacking the managerial depth required to impact performance outcomes.

In general, these results supported the article's main point: different inventory methods relied on internal capacity and external supply-chain stability to varying degrees. EOQ worked well for SMEs in Douala because it was a low-contingency technique that matched their resource levels and operational conditions. JIT and ABC, on the other hand, needed more reliable environments and better management skills. This is why they had a positive direction but were not statistically significant in this case.

The study's results showed that managers must consider how their methods work within their environments. The clear, positive, and statistically significant link between computerized Economic Order Quantity (EOQ) practices and SME performance, along with the lack of significant links for Just-in-Time (JIT) and ABC classification, provides strong evidence for a theory of inventory control that accounts for the specific situation. Optimal comprehension of these results is achieved through a cohesive theoretical framework that views inventory techniques as capabilities whose value depends on the firm's internal and external ecosystems (Contingency Theory).

EOQ: How a Capability Fits with the Realities of the Situation

EOQ's strong performance showed it "fits" in its environment. Small and medium-sized businesses (SMEs) in Douala that lack management resources and rely on unreliable supplier networks could use EOQ as a practical and effective solution. It is easy to understand, focuses on the optimal order size, and requires regular stock evaluation, making it a handy feature (Giss Ljungberg & Lindgren, 2024). Digitizing EOQ makes it a more helpful resource by improving record-keeping consistency, enabling predictable reordering, and reducing stock problems. This feature makes operations more reliable and working capital more efficient right away. This result aligned with other researchers' findings that EOQ-style systems were helpful for decision-making and providing immediate visibility (Rossi et al., 2017). It also supports the idea that digitizing important business processes is an excellent way for small businesses to grow (Kalaiarasan et al., 2022). EOQ should work because it is a strong ability that does not depend on a stable outside environment. In fact, it was made to keep things stable even when things change.

JIT and ABC: The Paradox of Potential Mitigated by Contingencies

The fact that JIT and ABC did not work well does not mean they do not work; it just means they do not fit how small businesses in Douala actually operate. The study found that JIT and ABC had positive, but statistically insignificant, effects on the performance of small- and medium-sized businesses (SMEs). This suggests that businesses may know the theoretical benefits but lack the conditions for these systems to work in practice. Unreliable supplier lead times, a weak logistics infrastructure, limited managerial capacity, and poor data systems are among the factors that make it hard for them to succeed. These limitations make it difficult to achieve the results predicted in theory. Understanding why these advanced inventory methods do not produce significant performance improvements requires examining the broader operational ecosystem of SMEs in Douala. This ecosystem encompasses factors such as supply chain reliability, technological readiness, and workforce skills. The lack of statistical significance ultimately highlights a key theoretical principle: capabilities generate value only when the appropriate supporting conditions are present.

JIT: The Capability Broken by Supply-Chain Limitations

JIT's theoretical promise of lower holding costs and leaner flows was based entirely on a reliable supply chain, which includes short lead times, reliable suppliers, and easy information sharing. The data showed a strange implementation paradox: 87.5% of companies do formal JIT planning, but only 55.8% received their inventory on time. The main problem is the difference between what is wanted and what actually happens. In Douala, where road transport is unreliable, ports are slow, suppliers are unreliable, and the logistics sector is mainly informal, getting JIT is difficult. Reducing buffer stocks, the main idea behind JIT, increases the likelihood of stockouts and service failures. This raises the cost of emergency orders and lowers the quality of service. Because of these high transaction and coordination costs, the coefficient for JIT was not significant. These costs always cancel any potential benefits (Yang et al., 2021). As a skill, JIT depends on the situation, and in this case, the necessary conditions for it to work are mostly absent.

ABC: The Capability Constrained by Internal Resource Gaps

The null result for the ABC classification also indicated a gap between adoption and effective implementation. For ABC to go from a simple sorting task to a way to improve performance, it needs accurate item-level costing, innovative management to set policies for each class, and the discipline to ensure they are followed. The positive descriptive ratings demonstrate that small and medium-sized businesses comprehend ABC. However, the non-significant regression outcome indicated that this understanding is not translating into strategic action. The results suggest that, in theory, many of the sampled SMEs have poorly developed internal contingencies, such as managerial talent and data quality, needed to implement ABC (Oyetade et al., 2024). If these resources are absent, the benefits of ABC are probably small and will be overshadowed by the bigger benefits of a computerized EOQ system. Therefore, the company's lack of resources, rather than external factors such as JIT, limits ABC's potential.

Theoretical and Empirical Integration: Promoting a Conditional-Causal Perspective

Compared with the broader body of research, the results revealed a critical theoretical difference. Studies in advanced economies often find that JIT and ABC are highly advantageous, but they typically examine companies operating in environments with high reliability (Chen et al., 2023). The results indicate that this difference is not contradictory but conditional. They present strong evidence for the main idea of contingency theory, which is that aligning strategies with situational factors makes an organization more effective (Muchaendepi et al., 2019). The result leads to a conditional-causal argument: the effectiveness of an inventory method is not always the same; it depends on how well the capability (RBV) fits with the company's internal and external circumstances.

Therefore, when it comes to the hypotheses, Hwas rejected, and clear evidence for the effect of EOQ was observed. Hand Hcannot be rejected; however, this should be interpreted as evidence of ineffectiveness within the current sample's contextual constraints, rather than as evidence of the techniques' inherent invalidity. This nuanced interpretation emphasizes the imperative to transcend universal prescriptions in operations management research, especially in emerging economies.

The cross-sectional design and dependence on self-reported data complicate causal assertions; however, the consistent descriptive and regression patterns provide SME managers and policymakers with a coherent narrative that delineates a clear trajectory for targeted intervention and subsequent research.

The study's practical implications show that computerized EOQ systems provide the greatest immediate and demonstrable performance improvements for SMEs in Douala, as they are simple, cost-effective, and compatible with current capacities. Managers should prioritize EOQ adoption through basic digital tools, accurate recordkeeping, and frequent stock reviews while applying JIT and ABC approaches sparingly, only where supplier reliability and managerial competency allow. By subsidizing digital inventory technologies, enhancing logistics infrastructure, and providing targeted training to improve managerial and operational capacity, policymakers and support organizations can increase their influence. Similarly, suppliers must strive for greater transparency and reliability in delivery so that SMEs can progressively adopt more sophisticated inventory systems. Adopting digital EOQ, combined with ecosystem-level support that enhances reliability, data accuracy, and human capital needed for successful JIT and ABC deployment, maximizes overall performance gains.

Limitations

Using cross-sectional data makes it more difficult for the study to establish causal relationships between inventory control methods and SME performance. Because the data capture only a single point in time, any observed associations may indicate correlation rather than causation. It is also possible that higher-performing firms are simply more inclined to adopt JIT or ABC, and that these practices do not necessarily lead to improved performance. Future research should employ longitudinal designs or quasi-experimental methodologies to determine the direction and robustness of these effects.

The use of purposive sampling and the focus on SMEs in Douala may have resulted in a less representative sample. This can make it harder to apply the results to other situations, since SMEs in other regions or sectors may work in different market, infrastructure, or regulatory conditions. To tackle this issue, researchers ought to consider probability sampling, extending to multiple cities, or stratified sampling methodologies that account for size and sector disparities.

Using the same questionnaire to measure both independent and dependent variables can violate the assumption of independence between the two. This can make relationships seem stronger than they really are because of biases in how people answer questions, such as a desire to be socially desirable or to be consistent. Subsequent research should mitigate this risk by using diverse data sources, distinguishing measurement intervals, or implementing statistical controls for common method bias.

Also, using subjective, self-reported performance indicators may have led to measurement errors or inflated performance ratings. This could make the results less accurate and hide fundamental differences in performance. Adding objective measures, such as audited financial records, tax returns, inventory turnover ratios, or other operational data that can be verified, would yield more accurate results.

Lastly, the study did not adequately control for differences in firm size or sector, even though these factors are likely to affect how inventory systems like JIT or ABC operate. If you do not take these differences into account, the results might hide important differences between subgroups. Subsequent research should systematically gather and examine these attributes, employing stratified analyses or interaction tests to determine whether inventory practices differ across firm categories.

Conclusion

In Douala, computerized Economic Order Quantity (EOQ) practice greatly improves the performance of small and medium-sized enterprises (SMEs). On the other hand, Just-in-Time (JIT) and ABC classification have positive effects that are not statistically significant in this sample. These findings directly fulfill the study's objectives by demonstrating that EOQ is the optimal method for inventory control in a local SME context, thereby enhancing performance. On the other hand, the benefits of JIT and ABC depend on factors such as supplier reliability, logistics, and the manager's effectiveness. The findings confirm a conditional-causal framework: simple, visibility-boosting digital tools (like computerized EOQ) provide consistent benefits across many SMEs. At the same time, systems that rely more (like JIT and ABC) need a stronger ecosystem and stronger human resources to work.

Recommendation For SME Managers

SMEs should adopt simple computerized EOQ systems to improve ordering accuracy and inventory efficiency. Regular stock checks, monthly EOQ reviews, and basic staff training help maintain data quality. Before moving to advanced methods like JIT or ABC, firms must ensure reliable supplier lead times and sufficient capacity for item-level data to avoid operational issues.

For Suppliers and Logistics Partners

To make supply arrangements more reliable for buyers who want to use JIT practices, suppliers should make delivery more transparent by consistently providing accurate lead times and notifying buyers in advance of any delays. If possible, this should be backed up by simple service-level agreements that make expectations clear. Also, giving small and medium-sized businesses (SMEs) basic electronic access to order information and delivery status can make the replenishment process much less uncertain and make it easier for them to use advanced inventory management systems.

For policymakers and business-support organizations

Policymakers can support SMEs by funding low-cost digital inventory tools, offering affordable skills training, and improving transport and logistics infrastructure needed for stable deliveries and JIT. They can also sponsor pilot projects that pair EOQ digitalization with supplier-reliability initiatives, creating evidence for staged adoption of advanced methods and strengthening long-term operational capability.

For Researchers

Future research should examine how external and situational factors influence SME inventory systems, using longitudinal or quasi-experimental designs with objective metrics to strengthen causal claims. Studies should assess moderators such as supplier reliability, firm size, manager training, transport quality, and IT access, and compare regions or countries to understand when and why EOQ, JIT, and ABC perform well.

Conflict of Interest

The authors declare that they have no competing interests.

Acknowledgement

The authors wish to convey their heartfelt appreciation to several scholars and researchers, especially the academic elites from the School of Business and the CPGS at Lincoln University College (LUC), Malaysia, whose invaluable contributions and insights have substantially enriched the development of this study.

References

Abdulaziz, Q. A., Mad Kaidi, H., Masrom, M., Hamzah, H. S., Sarip, S., Dziyauddin, R. A., & Muhammad-Sukki, F. (2023). Developing an IoT framework for industry 4.0 in Malaysian SMEs: an analysis of current status, practices, and challenges. Applied Sciences, 13(6), 3658. https://doi.org/10.3390/app13063658

Aithal, A., & Aithal, P. S. (2020). Development and validation of survey questionnaire & experimental data–a systematical review-based statistical approach. International Journal of Management, Technology, and Social Sciences (IJMTS), 5(2), 233-251. https://dx.doi.org/10.2139/ssrn.3724105

Bahire, J., & Kwena, R. (2023). Effect of Project Management Process on Performance of Energy Infrastructure Projects in Rwanda. Journal of Entrepreneurship & Project Management, 7(15), 117-139. https://doi.org/10.53819/81018102t2283.

Chen, Z. Y., Fan, Z. P., & Sun, M. (2023). Inventory management with multisource heterogeneous information: Roles of representation learning and information fusion. IEEE Transactions on Systems, Man, and Cybernetics: Systems, 53(9), 5343-5355. https://doi.org/10.1109/TSMC.2023.3267858

Drolet, M. J., Rose-Derouin, E., Leblanc, J. C., Ruest, M., & Williams-Jones, B. (2023). Ethical issues in research: Perceptions of researchers, research ethics board members and research ethics experts. Journal of Academic Ethics, 21(2), 269–292. https://doi.org/10.1007/s10805-022-09455-3

Enaifoghe, A. (2024). Enhancing small and medium enterprises (SMEs) in a globalized and innovative economy: challenges and opportunities. International Journal of Business, Economics and Social Development, 5(2), 130-138. https://doi.org/10.46336/ijbesd.v5i2.655

Forth, J., & Bryson, A. (2019). Management practices and SME performance. Scottish Journal of Political Economy, 66(4), 527-558. https://doi.org/10.1111/sjpe.12209

Gherghina, Ș. C., Botezatu, M. A., Hosszu, A., & Simionescu, L. N. (2020). Small and medium-sized enterprises (SMEs): The engine of economic growth through investments and innovation. Sustainability, 12(1), 347. https://doi.org/10.3390/su12010347

Giss Ljungberg, M., & Lindgren, E. (2024). Supply Chain Resilience for SMEs: An exploration of buyer-supplier relationships and the role of inventory management. https://urn.kb.se/resolve?urn=urn%3Anbn%3Ase%3Akau%3Adiva- 100793

Hasan, M. K. H., & Kumar, L. K. (2024). Determining adequate sample size for social survey research: sample size for social survey research. Journal of the Bangladesh Agricultural University, 22(2), 146-157. https://doi.org/10.3329/jbau.v22i2.74547

Hutchinson, D., & Chyung, S. Y. Y. (2023). Evidence-based survey design: adding “moderately” or “somewhat” to likert scale options agree and disagree to get interval-like data. Performance Improvement, 62(1), 17-24. https://doi.org/10.56811/PFI-22-0012

Kalaiarasan, R., Agrawal, T. K., Olhager, J., Wiktorsson, M., & Hauge, J. B. (2023). Supply chain visibility for improving inbound logistics: a design science approach. International Journal of Production Research, 61(15), 5228-5243. https://doi.org/10.1080/00207543.2022.2099321

Kisty, T. A. H., Safitri, E., Basriati, S., & Soleh, M. (2025). Application of Economic Production Quantity (EPQ) Method and Just in Time Method (JIT) in Bread Raw Material Inventory Control. Zeta-Math Journal, 10(1), 30-38. https://doi.org/10.31102/zeta.2025.10.1.30-38

Mahohoma, T. (2024). A comparison of the usage between financial and non-financial performance metrics in Small and Medium Enterprises (SMEs) in South Africa. International Journal of Research in Business and Social Science, 13(5), 547- 557. https://doi.org/10.20525/ijrbs.v13i5.3540

Mer, A., & Virdi, A. S. (2024). Decoding the challenges and skill gaps in small-and medium-sized enterprises in emerging economies: A review and research agenda. Contemporary Challenges in Social Science Management: Skills Gaps and Shortages in the Labour Market, 115-134. https://doi.org/10.1108/S1569-37592024000112B007

Ministry of Small and Medium-sized Enterprises, Social Economy and Handicrafts, Cameroon. (2022). Statistical yearbook on SMEsSEHs [Annual report]. Yaoundé: Ministry. Retrieved from https://www.minpmeesa.gov.cm/site/inhoud/uploads/2022/06/p2022auk.pdf

Ministry of Territorial Administration, Cameroon. (2022). Functions and responsibilities of the Ministry of Territorial Administration. Government of Cameroon. https://minat.gov.cm/?utm

Muchaendepi, W., Mbohwa, C., Hamandishe, T., & Kanyepe, J. (2019). Inventory management and performance of SMEs in the manufacturing sector of Harare. Procedia Manufacturing, 33, 454-461. https://doi.org/10.1016/j.promfg.2019.04.056

Mugano, G., & Dorasamy, N. (2024). Correction to: SMEs Perspective in Africa. In SMEs Perspective in Africa: Creating Sustainable and Resilient Economies (pp. C1-C1). Cham: Springer Nature Switzerland. https://doi.org/10.1007/978-3-031- 69103-4_11

Munyaka, J. B., & Yadavalli, V. S. S. (2022). Inventory management concepts and implementations: a systematic review.South African Journal of Industrial Engineering, 33(2), 15-36. https://doi.org/10.7166/33-2-2527

National Institute of Statistics (NIS), Cameroon. (2001). Decree presidential No. 2001/100 of 20 April 2001 establishing INS as public administrative institution. Yaoundé, Cameroon. https://ins-cameroun.cm/en/?utm

Nuhu, M. J. (2025). Identifying and Assessing Supply Chain Risks in Food and Beverage Companies in Bangladesh. https://urn.fi/URN:NBN:fi:amk-2025061122490

Nyimbili, F., & Nyimbili, L. (2024). Types of purposive sampling techniques with their examples and application in qualitative research studies. European Centre for Research Training and Development UK. https://doi.org/10.37745/bjmas.2022.0419

Oyetade, B. J., Bello, A. O., & Akinlalu, O. S. (2024). Inventory management practices and SMEs’ performance in lagos state. International Journal of Research and Innovation in Social Science, 8(5), 958-979. https://dx.doi.org/10.47772/IJRISS.2024.805068

Panigrahi, R. R., Das, J. R., Jena, D., & Tanty, G. (2019). Advanced inventory management practices and their impact on production performance of manufacturing industry. International Journal of Recent Technology and Engineering, 11(6), 8266–8270. https://doi.org/10.35940/ijrte.D8266.118419

Prasanna, R. P. I. R., Jayasundara, J. M. S. B., Naradda Gamage, S. K., Ekanayake, E. M. S., Rajapakshe, P. S. K., & Abeyrathne, G. A. K. N. J. (2019). Sustainability of SMEs in the competition: A systemic review on technological challenges and SME performance. Journal of Open Innovation: Technology, Market, and Complexity, 5(4), 100. https://doi.org/10.3390/joitmc5040100

Ramadan, A., Alkhodary, D., Alnawaiseh, M., Jebreen, K., Morshed, A., & Ahmad, A. B. (2024). Managerial competence and inventory management in SME financial performance: A Hungarian perspective. Journal of Statistics Applications & Probability, 13(3), 859-870. https://doi.org/10.18576/jsap/130301

Rashid, A., Rasheed, R., Rahi, S., & Amirah, N. A. (2024). Disruptive factors of vendor-managed inventory in the manufacturing industry. Supply Chain Forum: An International Journal, 25(3), 353–364.https://doi.org/10.1080/16258312.2024.2330913

Rossi, T., Pozzi, R., & Testa, M. (2017). EOQ-based inventory management in single-machine multi-item systems. Omega, 71, 106-113. https://doi.org/10.1016/j.omega.2016.10.002

Shad, M. K., Lai, F. W., Fatt, C. L., Klemeš, J. J., & Bokhari, A. (2019). Integrating sustainability reporting into enterprise risk management and its relationship with business performance: A conceptual framework. Journal of Cleaner production, 208, 415-425. https://doi.org/10.1016/j.jclepro.2018.10.120

Silaen, B. R., Nasution, M., & Muti’ah, R. (2024). Implementation of the ABC Analysis to the Inventory Management. International Journal of Science, Technology & Management, 5(4), 816-825. https://doi.org/10.46729/ijstm.v5i4.1144

Sutejo, M. B., Suprayitno, D., & Latunreng, W. (2023). Controlling Raw Material Inventory using the Economic Order Quantity (EOQ) Method at PT. ICI Paints Indonesia. Sinergi International Journal of Logistics, 1(3), 108-122.https://doi.org/10.61194/sijl.v1i3.117

Vaka, D. K. (2024). Integrating inventory management and distribution: A holistic supply chain strategy. the International Journal of Managing Value and Supply Chains, 15(2), 13-23. https://doi.org/10.5121/ijmvsc.2024.15202

Yang, J., Xie, H., Yu, G., & Liu, M. (2021). Achieving a just–in–time supply chain: The role of supply chain intelligence. International Journal of Production Economics, 231, 107878. https://doi.org/10.1016/j.ijpe.2020.107878